CapFriendly (@capfriendly) 's Twitter Profile
CapFriendly

@capfriendly

Official twitter of CapFriendly.com. NHL Contract details, Salary Cap tracking, Draft, CBA info & fan favorites such as Armchair-GM.
Basketball: @SalarySwish

ID: 3041091676

linkhttps://www.capfriendly.com calendar_today16-02-2015 16:55:46

27,27K Tweet

191,191K Takipçi

492 Takip Edilen

CapFriendly (@capfriendly) 's Twitter Profile Photo

Contract comparables to Pavel Buchnevich's 6 year x $8M AAV contract extension: Jake Guentzel (TBL) 7 x $9M Brendan Gallagher (MTL) 6 x $6.5M James van Riemsdyk (PHI) 5 x $7M Filip Forsberg (NSH) 8 x $8.5M capfriendly.com/comparables/pa…

CapFriendly (@capfriendly) 's Twitter Profile Photo

Day 2 Free Agency Recap: ANA: Dumoulin (trade) BOS: None BUF: Reimer, Poolman CGY: Aspirot CAR: None CHI: None COL: Brännström, Aamodt, Bradley CBJ: Gambrell DAL: Blackwell DET: None EDM: None FLA: Entwistle LAK: None MIN: None MTL: None NSH: None NJD: Tatar NYI: None NYR:

CapFriendly (@capfriendly) 's Twitter Profile Photo

Day 2 Free Agency Recap: ANA: Dumoulin (trade), Harkins BOS: None BUF: Reimer, Poolman CGY: Aspirot CAR: None CHI: None COL: Brännström, Aamodt, Bradley CBJ: Gambrell, J Johnson DAL: Blackwell DET: Motte EDM: None FLA: Entwistle, Schmidt LAK: None MIN: None MTL: None NSH: None

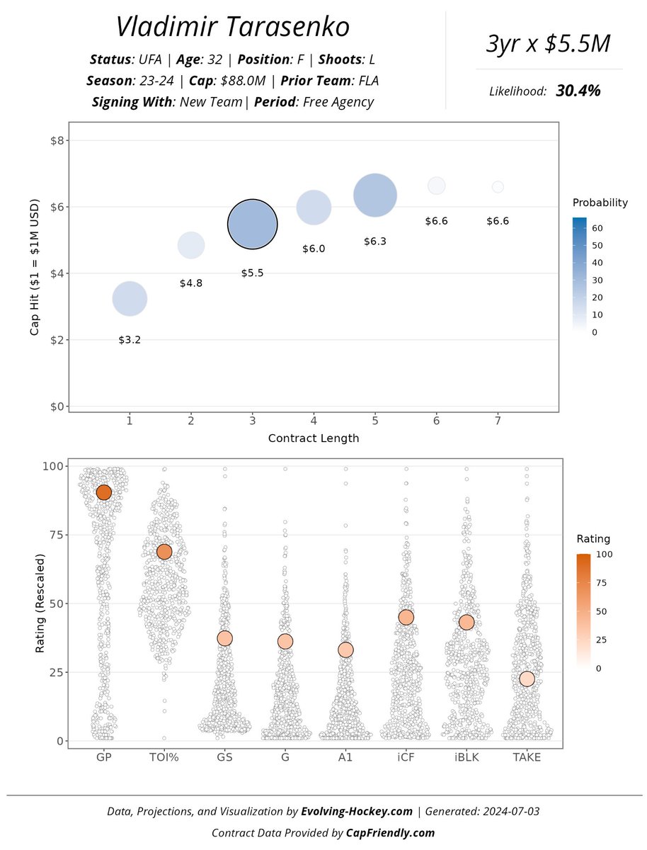
Evolving-Hockey (@evolvinghockey) 's Twitter Profile Photo

The model identified 3 or 5 years as the most likely term for Tarasenko, but this is right on the money of what we expected given a 2-year term.

The model identified 3 or 5 years as the most likely term for Tarasenko, but this is right on the money of what we expected given a 2-year term.
SalarySwish (@salaryswish) 's Twitter Profile Photo

Bronny James #Lakers Rookie Contract - 4yrs @ $7,895,796 Second Round Exception Signed: Jul 3, 24 24-25: $1,157,153 25-26: $1,955,377 26-27: $2,296,271 Gtd: $1,258,873 (fully guaranteed if not waived by Jun 29, 26) 27-28: $2,486,995 (Team Option) salaryswish.com/players/bronny…

SalarySwish (@salaryswish) 's Twitter Profile Photo

Patrick Williams #ChicagoBulls $90M 5 yr Vet Contract AAV: $18M Confirmed Breakdown: 24-25: $18,000,000 25-26: $18,000,000 26-27: $18,000,000 27-28: $18,000,000 28-29: $18,000,000 (Player Option) salaryswish.com/players/patric…

SalarySwish (@salaryswish) 's Twitter Profile Photo

TRADE: To Sacramento #Kings: DeMar DeRozan *Sign and Trade To Chicago #Bulls: Chris Duarte Future 2nd RD pick Future 2nd RD pick Cash To San Antonio #Spurs: Harrison Barnes as per Adrian Wojnarowski salaryswish.com/trades/363?twi…

CapFriendly (@capfriendly) 's Twitter Profile Photo

There was a SIX-WAY trade in the NBA yesterday (20% of the league involved), SalarySwish was able to capture and display it all, check it out 🔥👇 salaryswish.com/trades/364?twi…

SalarySwish (@salaryswish) 's Twitter Profile Photo

Paul George #76ers MAX Contract- 4yrs @ $211,584,940 24-25: $49,205,800 25-26: $51,666,090 26-27: $54,126,380 27-28: $56,586,670 (Player Option) *15% Trade Kicker salaryswish.com/players/paul-g…

SalarySwish (@salaryswish) 's Twitter Profile Photo

LeBron James #Lakers 2 Year Bird Exception Value: $101,355,998 24-25: $48,728,845 25-26: $52,627,153 (player option) Includes a no trade clause and a 15% trade kicker salaryswish.com/players/lebron…

SalarySwish (@salaryswish) 's Twitter Profile Photo

Jayson Tatum #Celtics 35% MAX Contract Designated Veteran Extension 5 yrs @ $313,933,410 25-26: $54,126,450 26-27: $58,456,566 27-28: $62,786,682 28-29: $67,116,798 29-30: $71,446,914 (Player Option) salaryswish.com/players/jayson…

CapFriendly (@capfriendly) 's Twitter Profile Photo

Thank You! After 9 years of late nights, early mornings, missed holidays and family events while diligently updating the website and developing tools, the CapFriendly team has made the decision to begin a new chapter and challenge! We couldn’t be more thankful for the support

Thank You!

After 9 years of late nights, early mornings, missed holidays and family events while diligently updating the website and developing tools, the CapFriendly team has made the decision to begin a new chapter and challenge!

We couldn’t be more thankful for the support