Brian Sarah (@briansarah0) 's Twitter Profile
Brian Sarah

@briansarah0

••it's alright to be cautious, but even a turtle has to stick his neck out to get anywhere.•• #ilikewhatido🔛🔝1️⃣✨✌️

ID: 1877892804636299264

linkhttp://t.me//th_honeybadger calendar_today11-01-2025 01:38:55

14 Tweet

50 Followers

798 Following

Robin Seyr (@robinseyr) 's Twitter Profile Photo

Buying a house with 0.1 Bitcoin is coming sooner than you think! Average US home Price ⇒ 2019: 82 BTC ⇒ 2025: 4 BTC ⇒ 2031: ? BTC It's inevitable:

Buying a house with 0.1 Bitcoin is coming sooner than you think!

Average US home Price 
⇒ 2019: 82 BTC
⇒ 2025:   4 BTC
⇒ 2031:    ? BTC

It's inevitable:
Fred Krueger (@dotkrueger) 's Twitter Profile Photo

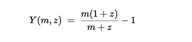
This is the fundamental equation of asset backed companies, including Bitcoin treasury companies. m is the mNav. z is the percentage of assets raised in a year, and Y is the asset "yield".

This is the fundamental equation of asset backed companies, including Bitcoin treasury companies.

m is the mNav. 
z is the percentage of assets raised in a year, 
and Y is the asset "yield".
Robin Seyr (@robinseyr) 's Twitter Profile Photo

It still blows my mind that Bitcoin is cheaper than only one single company. Wait till Bitcoin is bigger than the biggest 100 Companies combined!

It still blows my mind that Bitcoin is cheaper than only one single company.

Wait till Bitcoin is bigger than the biggest 100 Companies combined!