
Jerome Riera
@biscaphysio
Kinésithérapeute/Physical Therapist, PhD student @LIBM_lab @Univ_St_Etienne, #ACL, #tendon, #research, Director @PSP_formations,
ID: 2834094921
16-10-2014 14:10:28
3,3K Tweet
519 Takipçi
190 Takip Edilen

🚨NEW ARTICLE🚨 Athletes who have already experienced an injury are more prone to adhere to an injury risk reduction approach than those who do not Pascal EDOUARD @EvertVerhagen Alexis Ruffault FFAthlétisme Université Jean Monnet Saint-Étienne CHU de Saint-Étienne OA BMJ Open Sport & Exercise Medicine ▶️bmjopensem.bmj.com/content/10/1/e…


📄 The biggest meta-analysis on physical performance in golf to date, is now officially published in Sports Medicine. 🔬 A huge piece of work as part of Alex Brennan’s PhD, with a lot of help from a cracking team! 🔓 Open access here: link.springer.com/article/10.100….



🆕"ACLR & Progression to Sprint Return in Soccer Players" ▶️ Velocity-based return to sprint program which can be used during ACLR rehabilitation ⚽️ 👉Florian FORELLI Tim Hewett et al., 2024 📂 Open Access: ijspt.org/implementing-v…



#master #STAPS #recherche Université Jean Monnet Saint-Étienne #physiologie #activitéphysique #biomécanique In English 🇬🇧Candidater jusqu’au 15/04 👉bit.ly/3ImLQoo Campus France Université Sorbonne Paris Nord AE STAPS Nantes UFR STAPS Dijon - Le Creusot BDE UFRAPS ADESA BDE STAPS Heritage @ABEEPStaps


Merci de diffuser🙏#master #STAPS #recherche Université Jean Monnet Saint-Étienne #physiologie #activitéphysique #biomécaniqueIn English 🇬🇧 LIBM Date Limite 15/04 👉bit.ly/3ImLQoo UFRStapsMontpellier Les Stapsiates @ABEEPStaps BibSTAPS ARES : Association Rémoise des Étudiants en STAPS BDE STAPS Poitiers SFP-APA AUF


"Tendons can repair and adapt over time, challenging the ‘donut theory’ that once a tendon has a defect, it’s permanent" Achilles Tendons sportsmith.co/articles/under…




4️⃣ years on after 🗣️ Meredith Chaput, PhD, DPT, SCS & Dustin Grooms ➡️ a conceptual framework for visual-cognitive progression after ACL-R‼️ 🚨Visual-Cognitive Control-Chaos Continuum JOSPT Community jospt.org/doi/10.2519/jo… 🚨Injury results in deficits beyond physical performance in isolation 👀🧠



⚠️New paper A 1-year prospective study published in BEK Ankle-GO is the first prognostic score to identify coper patients after LAS🦶 An International collaboration with Ronny Lopes, Alex Hardy François Fourchet Erik Wikstrom UnivSavoieMontBlanc LIBM Int Ankle Consortium @sfmksofficiel

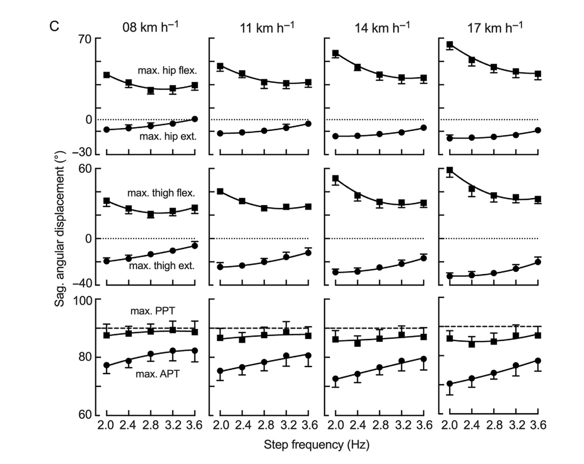
🚨NEW PAPER🚨📄🔬 Pelvis and thigh mechanics 🏃♂️are modulated by running step frequency 🧐 Nice and detailed analysis by @RaphMesquita and Arthur H Dewolf Interesting applications for injury prevention, for example lower SF = greater pelvic tilt 🔄 journals.humankinetics.com/view/journals/…



