Anthony Richards (@anthony79151658) 's Twitter Profile
Anthony Richards

@anthony79151658

Jamaica/comrade

ID: 1570872722846089217

calendar_today16-09-2022 20:30:51

2,2K Tweet

417 Takipçi

354 Takip Edilen

Anthony Clarke (@anthony74591873) 's Twitter Profile Photo

Dwayne Vaz is fine,he has information that will clear him,he responded to the matter with alacrity,however the illicit enrichment bunch from the JLP are still hiding.

Dwayne Vaz is fine,he has information that will clear him,he responded to the matter with alacrity,however the illicit enrichment bunch from the JLP are still hiding.
Anthony Clarke (@anthony74591873) 's Twitter Profile Photo

Well said 👏🏼 point taken, Jackass sey the worl no lebble, one law for Dwayne Vaz and another for Brogad aka MR CANNOT BE CERTIFIED Anju Hopeless.

Hugh A Richards (@antonyr01388405) 's Twitter Profile Photo

The second the house clerk mentioned former MP Dwyane Vaz while tabling the IC report in the Parliament Nationwide90FM put it out as breaking news, what surprises me is PM Andrew Holness for 3 years now the said IC has not certified his statutory declaration and not a word🤔

Mark J. Golding (@markjgolding) 's Twitter Profile Photo

In 2019 over 100,000 fewer Jamaicans rented or lived in their own home than in 2007....In truth and in fact the cost of housing is out of reach for the ordinary Jamaican.

Hugh A Richards (@antonyr01388405) 's Twitter Profile Photo

The human blunder that happens with Dwayne Vaz's Statutory declarations doesn't take away from the great work the IC has been doing to stamp out corruption in the government, lets keep supporting them for a corrupt free Jamaica🫠🫠

JawlettePP5 (@dor8pickney) 's Twitter Profile Photo

Jay Brown Goh clean up the dutty stinking place, dodo water flowing there. I shop on a Thursday so I get the correct weight and prices. Buy off the trucks straight from country.

Rampanpiza (@dentona22) 's Twitter Profile Photo

With a margin of error of 3% Mark Golding has closed the gap with Anju but it goes further, look at Anju's unfavourability numbers. Time Come.

With a margin of error of 3% Mark Golding has closed the gap with Anju but it goes further, look at Anju's unfavourability numbers. Time Come.
Hugh A Richards (@antonyr01388405) 's Twitter Profile Photo

While a poll is a snapshot of the time it is interesting to note this poll was taken after the budget debate this year. And for those who will say this is a PNP-commissioned poll both political parties do polls The JLP can release their Blue Dot poll too for comparison 👀🤔🫠

While a poll is a snapshot of the time it is interesting to note this poll was taken after the budget debate this year.
And for those who will say this is a PNP-commissioned poll both political parties do polls
The JLP can release their Blue Dot poll too for comparison 👀🤔🫠
Hugh A Richards (@antonyr01388405) 's Twitter Profile Photo

Coming from ground zero just a few years ago this a big improvement for the PNP who will begin their 2024 political year on May 5th 2024 with 228 divisions, 63 constituencies and 6 regionals conferences going into their national annual conference in September #TeamPNP #timecome

Coming from ground zero just a few years ago this a big improvement for the PNP who will begin their 2024 political year on May 5th 2024 with 228 divisions, 63 constituencies and 6 regionals conferences going into their national annual conference in September #TeamPNP #timecome
Hugh A Richards (@antonyr01388405) 's Twitter Profile Photo

Is there any truth to what I am hearing, the dental programs the MOHW implemented last year, the first set of dentures was set to be delivered Thursday, May 2, 2024, at the Mandeville Comprehensive Clinic was postponed because Min Tufton is unavailable to give out the dentured🤔

Hugh A Richards (@antonyr01388405) 's Twitter Profile Photo

I would love to ask Minister Nigel Clarke which of these taxes you were comically displaying did you and the government removed or cancelled. Is the government still collecting these taxes? If yes to the latter what was your point🤔 other than being a clown👀

Hugh A Richards (@antonyr01388405) 's Twitter Profile Photo

Here is another so-called concern of the JLP on whether the opposition leader Mark J. Golding who was born here in Jamaica has a Jamaican passport, which was answered emphatically in their shameless faces🫠🫣

Anthony Clarke (@anthony74591873) 's Twitter Profile Photo

Warmy a nohbady,that's why Bruce tek him out of his Cabinet,Bruce sey not in my Cabinet,his mouth is lose and Kaylis,him talk anything and put him mouth any wey,so don't tek anything he says seriously,Brogad pick him up,him shame Brogad,so him fire his Kaylis tribalist baxside.

Mark J. Golding (@markjgolding) 's Twitter Profile Photo

How did San and I meet? I get this question all the time, and there’s also a lot of misinformation purposely spread about our relationship. I was asked again this weekend by a member of our Diaspora so I thought I’d share the response with you this beautiful Sunday afternoon.

Hugh A Richards (@antonyr01388405) 's Twitter Profile Photo

If you are to believe Andrew Holness Nigel Clarke and their JLP bloggers you would think 2016 to present is the first time the JLP formed the gov. since 1944🫣 no mention of the period 1944/ 1955, 1962/1972, 1980/ 1989 and 2007 to 2012 why would they want us not to know 🤔👀

Canute Thompson (@thompsoncanute) 's Twitter Profile Photo

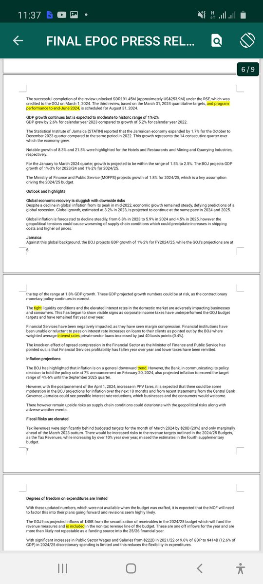
I have noted the conclusions of this EPOC statement and am grateful to the EPOC member who sent the statement to me. This statement shows a reckoning with the realities of how the budget will be funded for example the one of $45b securitization.

I have noted the conclusions of this EPOC statement and am grateful to the EPOC member who sent the statement to me. This statement shows a reckoning with the realities of how the budget will be funded for example the one of $45b securitization.
Canute Thompson (@thompsoncanute) 's Twitter Profile Photo

The statement recognizes that the $45b securitization is not repeatable in 2025/26 and that signals (in my view more taxes). The statement did not go far enough in reflecting on the implications for 2024/25 if the securitization is not achieved.

Hugh A Richards (@antonyr01388405) 's Twitter Profile Photo

If anyone believes a plane can land in any country's main International Airport with over 200 people and the authority knows nothing about it that means we all are clowns👀👀🤫🤨🤫🤨👀

Hugh A Richards (@antonyr01388405) 's Twitter Profile Photo

Nationwide90FM and Cliff Hughes, CD are public enemies of the Jamaica Labour Party bloggers all over social media this is what happens when you sell your credibility and integrity just to please some👀🫣🤫