Andrew Parsons (h/h/h) (@andrewparsonsmd) 's Twitter Profile
Andrew Parsons (h/h/h)

@andrewparsonsmd

Assoc Dean for Clinical Competency @medicineUVA | Director of Research, Hospital Medicine | @MaastrichtU PhD #HPE #ClinicalReasoning | #CECP @ACPIMPhysicians

ID: 159246560

linkhttps://rb.gy/nyrrn calendar_today24-06-2010 21:38:55

1,1K Tweet

802 Takipçi

731 Takip Edilen

Adam Rodman (@adamrodmanmd) 's Twitter Profile Photo

Unsurprisingly Cyril Zakka, MD says it better than I could. These are the exact concerns I have about the way we are integrating LLMs into clinical care. It *might* not matter, but we are all participating in an educational Pascal's wager right now. A 🧵🔽

Andrew Parsons (h/h/h) (@andrewparsonsmd) 's Twitter Profile Photo

This looks like a powerful AI tool by ⁦Raja-Elie Abdulnour⁩ and team. Real-time feedback on the reasoning process — can’t wait to try it out! #MedEd medrxiv.org/content/10.110…

Raja-Elie Abdulnour (@bagelemage) 's Twitter Profile Photo

Disruptions—new, neglected, and insidious—are reshaping medical education. In this NEJM editorial, we challenge ourselved us to move beyond “business as usual” and reimagine how we prepare future physicians. nejm.org/doi/full/10.10… NEJM

Brian Locke, MD MSCI (@doc_blocke) 's Twitter Profile Photo

How should one evaluate the usefulness of a question (or test or experiment) e.g. for medical diagnosis? ✅ Information gain, KL Distance, Probability Gain, Impact ⛔️Bayesian Diagnosticity [=Max(LR)] Niche, but cc: Cory Rohlfsen Dr. Shuhan He 🫀🫁

How should one evaluate the usefulness of a question (or test or experiment) e.g. for medical diagnosis? 

✅ Information gain, KL Distance, Probability Gain, Impact 
⛔️Bayesian Diagnosticity [=Max(LR)]

Niche, but cc: <a href="/CoryRohlfsen/">Cory Rohlfsen</a> <a href="/shuhanhemd/">Dr. Shuhan He 🫀🫁</a>
Anthony R Artino Jr (@mededdoc) 's Twitter Profile Photo

🧠📱 Just published in NEJM AI, we explore the promise and the perils of using #GenAI to prepare students for OSCEs. #AI can simulate patients, but it can’t replace the cognitive work of becoming a clinician. #MedEd Read more here: doi.org/10.1056/AIe250…

🧠📱 Just published in <a href="/NEJM_AI/">NEJM AI</a>, we explore the promise and the perils of using #GenAI to prepare students for OSCEs. #AI can simulate patients, but it can’t replace the cognitive work of becoming a clinician. #MedEd 

Read more here: doi.org/10.1056/AIe250…
Derek Thompson (@dkthomp) 's Twitter Profile Photo

Yes. Writing is not a second thing that happens after thinking. The act of writing is an act of thinking. Writing *is* thinking. Students, academics, and anyone else who outsources their writing to LLMs will find their screens full of words and their minds emptied of thought.

Yes. 

Writing is not a second thing that happens after thinking. The act of writing is an act of thinking. Writing *is* thinking.

Students, academics, and anyone else who outsources their writing to LLMs will find their screens full of words and their minds emptied of thought.
Cory Rohlfsen (@coryrohlfsen) 's Twitter Profile Photo

MINOCA is not an end point diagnosis. Great example of how diagnosis is not an endpoint but a waypoint. Excited for a new paradigm: ✅ cardiac MRI ✅ coronary functional testing ✅ role of AI in pattern recognition of previously ‘non essential’ data Andrew Parsons

R Logan Jones, MD FACP (@rloganjonesmd) 's Twitter Profile Photo

Used to recommend openAI as preferred LLM for clinical reasoning support- last week I’m now team gemini until OpenAI OpenAI Developers sort this out and allow us to at least choose o3 by default as legacy model

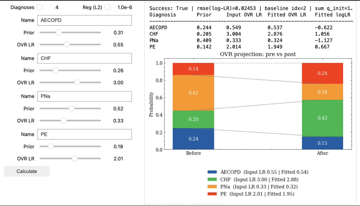
Brian Locke, MD MSCI (@doc_blocke) 's Twitter Profile Photo

Niche multi-class reasoning pt 2: I fixed an error in this: when you define a set of "one-vs-rest" LRs (ie. likelihood ratio for dx A vs not A, B vs not B, etc.), you want to ensure the resulting post-test probabilities sum to 1 (coherence)

Niche multi-class reasoning pt 2: 

I fixed an error in this: when you define a set of "one-vs-rest" LRs (ie. likelihood ratio for dx A vs not A, B vs not B, etc.), you want to ensure the resulting post-test probabilities sum to 1  (coherence)
Cory Rohlfsen (@coryrohlfsen) 's Twitter Profile Photo

Proud to represent ⁦UNMC College of Medicine⁩ at AMA ChangeMedEd, introducing novel endpoints of clinical reasoning that weren’t feasible prior to #AI Let’s reimagine how to measure #clinicalreasoning ⁦Brian Locke, MD MSCI⁩ ⁦⁦Dr. Shuhan He 🫀🫁Andrew Parsons

Proud to represent ⁦<a href="/UNMCCOM/">UNMC College of Medicine</a>⁩ at AMA ChangeMedEd, introducing novel endpoints of clinical reasoning that weren’t feasible prior to #AI 

Let’s reimagine how to measure #clinicalreasoning

⁦<a href="/doc_BLocke/">Brian Locke, MD MSCI</a>⁩ ⁦⁦<a href="/shuhanhemd/">Dr. Shuhan He 🫀🫁</a>⁩ <a href="/andrewparsonsMD/">Andrew Parsons</a>⁩