Adi (@adhee1673) 's Twitter Profile
Adi

@adhee1673

Aspiring Chef | I copy dishes of famous chefs from around the world

ID: 1937695249566236672

calendar_today25-06-2025 02:12:24

408 Tweet

43 Followers

28 Following

A. V. Dremel πŸ”» (@bmoreorganized) 's Twitter Profile Photo

This is Americanist drivel. Israel has not "hijacked" American imperialism, and portraying the relationship that way is nothing but an obfuscation that serves imperial interests.

Anthony Bonato (@anthony_bonato) 's Twitter Profile Photo

Graph theorists be like: 6-color theorem: easy proof 5-color theorem: straightforward application of Kempe chains 4-color theorem: er..let's change the topic

Adi (@adhee1673) 's Twitter Profile Photo

Tbh idk why leftists & third worldists are out here trying to act like jews control everything and making up excuses for it lol. I don’t even like jews, maybe about the same as Muslims, but I’m not out here justifying antisemitism like they are.

Math0nymics (@mathonymics) 's Twitter Profile Photo

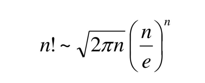
James Stirling, a Scottish mathematician, devised this approximation in 1730, called Stirling's approximationβ€”a formula that approximates the factorial of a large number n.

James Stirling, a Scottish mathematician, devised this approximation in 1730, called Stirling's approximationβ€”a formula that approximates the factorial of a large number n.
Adi (@adhee1673) 's Twitter Profile Photo

Noah Smith could easily prove Islamoleftism just by showing how much leftist crap buys into ZOG theory and openly aligns with Muslim religious goals lol.

Adi (@adhee1673) 's Twitter Profile Photo

This reply was actually kinda interesting for once, separate from the usual blame and bash da joo nonsense. yeah, suffering by itself doesn’t create communism, it’s understanding why that suffering keeps getting reproduced that does.

Yaashaa Golovanov (@golovanov_ammoc) 's Twitter Profile Photo

In India, analysis and theoretical PDE never found their homes because Indian professors are more obsessed with teaching β€œclassicβ€”Rudin” than helping students to understand analysis. Baby RUDIN killed any scope of cultivating strong school of mathematical analysis in India.

Adi (@adhee1673) 's Twitter Profile Photo

The whole β€œIran hangs dissenters” moralizing is going crazy in the comments, lol. Bourgeois states using violence to maintain themselves isn’t some exception. Most people don’t care abt lives lost unless it hits them personally. Same reason you’ve got Arabs in the replies crying?

Adi (@adhee1673) 's Twitter Profile Photo

This is that anti-imperialism low IQ brain leftists have they’ll back anything just bc it’s labeled anti-imperialist. They don’t even realize that by being this kind of tail-end anti-imperialist they’re propping up the same state structures and capitalism they claim to oppose.