
Zhuoer Lin
@zhuoer_lin
Assistant Professor @uichpa @uicpublichealth @thisisUIC. HealthEcon PhD @YaleHPM @YaleSPH @Yale.
ID: 1790084226550820865
http://www.zhuoerlin.org 13-05-2024 18:18:41
16 Tweet
37 Followers
49 Following

So excited to hood my graduate Dr Zhuoer Lin at Yale School of Public Health PhD Hooding Ceremony! Congratulations to Zhuoer on receiving the PhD Research Prize 2024 for his JAMA Internal Medicine paper🎉 Much appreciate his mentoring team Yale Health Policy & Management Yale Pepper Center. Absolute pleasure to see his rapid growth.


Welcome to X, Zhuoer! Zhuoer Lin Friends and colleagues, welcome to follow Zhuoer as he starts his academic career at University of Illinois Chicago UIC HPA UIC School of Public Health! Zhuoer’s webpage: zhuoerlin.org


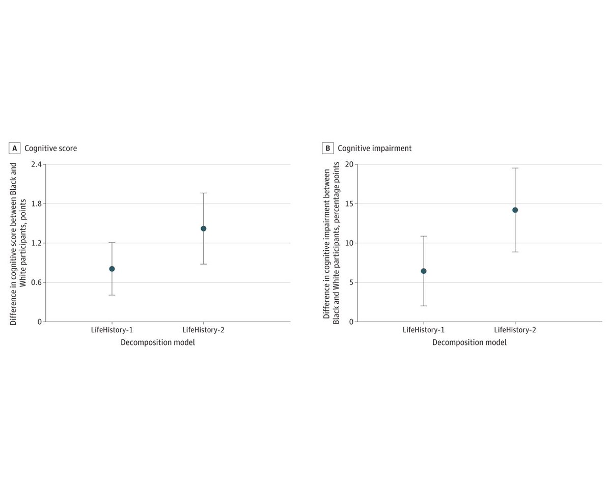
Important new work from investigators Yale School of Public Health, Yale Pepper Center and Geriatrics at Yale, accompanied by an editorial: "Less favorable early-life circumstances are associated with clinically meaningful racial disparities in late-life cognition." jamanetwork.com/journals/jamai…



How much do racial gaps in early-life circumstances, esp. educational quality & experiences, collectively & individually contribute to racial disparities in late-life cognition among older Americans? Our latest work JAMA Internal Medicine cc: Yale School of Public Health Yale Department of Economics Geriatrics at Yale 1/


Growing work suggests that place of birth (PoB) may have long-lasting & multiplicative role to later-life outcomes. Lin Zhuoer and I investigate the extent to which PoB contributes to a wide range of domains of cognition. doi.org/10.1093/geronb… Yale School of Public Health Gerontological Society of America (GSA) The National Institute on Aging (NIA)

Addressing these disparities requires more equalized place-based policies, resources, and early-life environments to promote health equity over the lifecycle. We leverage Health and Retirement Study geographic data and assessed cognition using Harmonized Cognitive Assessment Protocol (HCAP). 5/5


Is childhood school racial segregation associated with late-life cognitive outcomes? Our latest work in JAMA Network Open links historical data, highlighting the long-term negative consequences of school racial segregation for Black older Americans. jamanetwork.com/journals/jaman…


