Xinxue Liu
@xinxueliu
Statiatician in Medial Research at Oxford University
ID: 816006525563113472
02-01-2017 19:41:31
23 Tweet
85 Takipçi
124 Takip Edilen
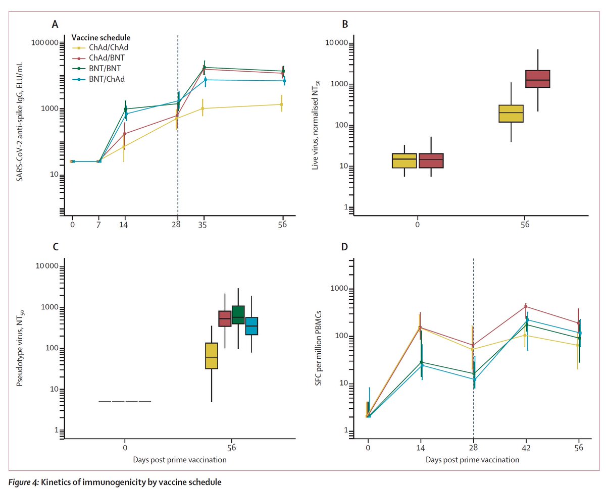
Just published The Lancet A randomized mix and match trial of AZ and Pfizer vaccination in >800 people shows that mixing is safe and can engender at least as good, if not better, immune response thelancet.com/action/showPdf… by Xinxue Liu and colleagues
This is a game changer. A single dose typhoid conjugate vaccine is highly efficacious in all ages including children younger than 2 years. UMSOM Center for Vaccine Dev. & Global Health University of Maryland School of Medicine Andrew Pollard icddr,b #takeontyphoid sciencedirect.com/science/articl…
Israel's 4th wave An outstanding Financial Times editorial that succinctly summarizes the data, knowns, unknowns, boosters, need for masks among vaccinated ft.com/content/572112…
The COV-BOOST trial suggests fractional vaccine doses may be important(effective but still highly reactive). Chuffed to be working on the Young Adults Fractional Dosing trial tinyurl.com/2p86ypvn with the fantastic Leila Saul Faust Xinxue Liu PHARMExcel Oxford Vaccine Group
The brilliant Merryn Voysey, lead statistician on Oxford-AstraZeneca vaccine, wins Australian of the year (U.K.) award two years from the first trial dose Oxford Vaccine Group
A super day at Windsor Castle with HRH Prince of Wales, who asked about the team Oxford Vaccine Group
Our researchers have reported new findings from a study exploring how certain genes can help generate a strong immune response following vaccination with two commonly used COVID-19 vaccines. Department of Paediatrics | University of Oxford Read more 🔻
🎉 Congratulations to our Xinxue Liu on becoming an Associate Professor in Medical Statistics and Epidemiology! 🌟 The entire Oxford Vaccine Group is bursting with pride! More on Xinxue's work: tinyurl.com/2p8hdrv4 Department of Paediatrics | University of Oxford
Excited to host a 2 day OPTIMMS Annual Principal Investigators’ Meeting in Uganda! OPTIMMS trial is a pivotal study aimed at identifying optimal immunisation schedules for infants. We are joined by dignitaries from the Ministry of Health- Uganda, UNEPI, World Health Organization (WHO) #ResearchCollaboration
TyVac-Nepal team celebrate 20,000 children vaccinated in Patan, Nepal. #stoptyphoid Incredible achievement. Take on Typhoid Gates Foundation Gavi, the Vaccine Alliance World Health Organization (WHO) Seth Berkley Oxford Vaccine Group @OUCRU_Vietnam