Wellington ICU (@wellingtonicu) 's Twitter Profile
Wellington ICU

@wellingtonicu

We are the 24-bed tertiary Intensive Care Unit in Wellington. We provide critical care to over a million people in the middle of New Zealand.

ID: 1609149806

linkhttps://wellingtonicu.com calendar_today20-07-2013 22:14:57

1,1K Tweet

3,3K Followers

44 Following

Wellington ICU (@wellingtonicu) 's Twitter Profile Photo

We have a third publication today, an Editorial in CCR. Excessive vasopressors or excessive hypotension - searching for the goldilocks zone in mean arterial pressure targets sciencedirect.com/science/articl…

We have a third publication today, an Editorial in CCR. Excessive vasopressors or excessive hypotension - searching for the goldilocks zone in mean arterial pressure targets

sciencedirect.com/science/articl…
Wellington ICU (@wellingtonicu) 's Twitter Profile Photo

Applications for Intensive Care Foundation 2025 grants are now open. If you are a New Zealand or Australian researcher looking for funding to get your ideas off the ground, please apply here, now: intensivecarefoundation.org.au/grants/apply-n…

Applications for Intensive Care Foundation 2025 grants are now open. If you are a New Zealand or Australian researcher looking for funding to get your ideas off the ground, please apply here, now:

intensivecarefoundation.org.au/grants/apply-n…
Wellington ICU (@wellingtonicu) 's Twitter Profile Photo

We have a new publication in Crit Care Resus: Mean arterial pressure in critically ill adults receiving vasopressors: A multicentre, observational study sciencedirect.com/science/articl…

We have a new publication in Crit Care Resus:
Mean arterial pressure in critically ill adults receiving vasopressors: A multicentre, observational study

sciencedirect.com/science/articl…
Wellington ICU (@wellingtonicu) 's Twitter Profile Photo

We have a new publication in Transfusion: The impact of red blood cells storage duration on the development of acute kidney injury: A secondary analysis of the TRANSFUSE multicenter randomized controlled trial onlinelibrary.wiley.com/doi/10.1111/tr…

We have a new publication in Transfusion: The impact of red blood cells storage duration on the development of acute kidney injury: A secondary analysis of the TRANSFUSE multicenter randomized controlled trial

onlinelibrary.wiley.com/doi/10.1111/tr…
Wellington ICU (@wellingtonicu) 's Twitter Profile Photo

We have 2 new publications. First is in Acta: Sedation, temperature and pressure after cardiac arrest and resuscitation—The STEPCARE trial: A statistical analysis plan onlinelibrary.wiley.com/doi/epdf/10.11…

We have 2 new publications. First is in Acta: Sedation, temperature and pressure after cardiac arrest and resuscitation—The STEPCARE trial: A statistical analysis plan

onlinelibrary.wiley.com/doi/epdf/10.11…
Wellington ICU (@wellingtonicu) 's Twitter Profile Photo

Second is in The Lancet: Identifying heterogeneity of treatment effect for antibiotic duration in bloodstream infection: an exploratory post-hoc analysis of the BALANCE randomised clinical trial: sciencedirect.com/science/articl…

Second is in The Lancet: Identifying heterogeneity of treatment effect for antibiotic duration in bloodstream infection: an exploratory post-hoc analysis of the BALANCE randomised clinical trial:

sciencedirect.com/science/articl…
Wellington ICU (@wellingtonicu) 's Twitter Profile Photo

We have a new paper in Lancet Respiratory: Defining and subphenotyping ARDS: insights from an international Delphi expert panel pdf.sciencedirectassets.com/283375/AIP/1-s…

We have a new paper in Lancet Respiratory: Defining and subphenotyping ARDS: insights from an international Delphi expert panel

pdf.sciencedirectassets.com/283375/AIP/1-s…
Wellington ICU (@wellingtonicu) 's Twitter Profile Photo

We have a new publication in CCR: Protocol summary and statistical analysis plan for the sodium bicarbonate for metabolic acidosis in the intensive care unit (SODa-BIC) trial pdf.sciencedirectassets.com/784137/1-s2.0-…

We have a new publication in CCR:

Protocol summary and statistical analysis plan for the sodium bicarbonate for metabolic acidosis in the intensive care unit (SODa-BIC) trial

pdf.sciencedirectassets.com/784137/1-s2.0-…
Wellington ICU (@wellingtonicu) 's Twitter Profile Photo

We have a new publication in Acta Scand: Higher versus lower mean arterial blood pressure after cardiacarrest and resuscitation (MAP-CARE): A protocol for arandomized clinical trial onlinelibrary.wiley.com/doi/epdf/10.11…

Wellington ICU (@wellingtonicu) 's Twitter Profile Photo

The Wellington Intensive Care Medicine exam course for 2025 will be held next month. The course timetable is now finalised & available online here: wellingtonicu.com/Data/WICM/WICM… We look forward to welcoming all candidates to a beautiful windy Wellington winter wonderland.

The Wellington Intensive Care Medicine exam course for 2025 will be held next month. The course timetable is now finalised & available online here:

wellingtonicu.com/Data/WICM/WICM…

We look forward to welcoming all candidates to a beautiful windy Wellington winter wonderland.
Wellington ICU (@wellingtonicu) 's Twitter Profile Photo

We have a new publication in Nursing Praxis: The Survivorship Journey Through Critical Illness in Aotearoa New Zealand: A Grounded Theory Study nursingpraxis.org/article/136966…

We have a new publication in Nursing Praxis:
The Survivorship Journey Through Critical Illness in Aotearoa New Zealand: A Grounded Theory Study

 nursingpraxis.org/article/136966…
Wellington ICU (@wellingtonicu) 's Twitter Profile Photo

We have a new publication in JAMA: Augmented Enteral Protein During Critical Illness. The TARGET Protein Randomized Clinical Trial

We have a new publication in JAMA: Augmented Enteral Protein During Critical Illness. The TARGET Protein Randomized Clinical Trial
Wellington ICU (@wellingtonicu) 's Twitter Profile Photo

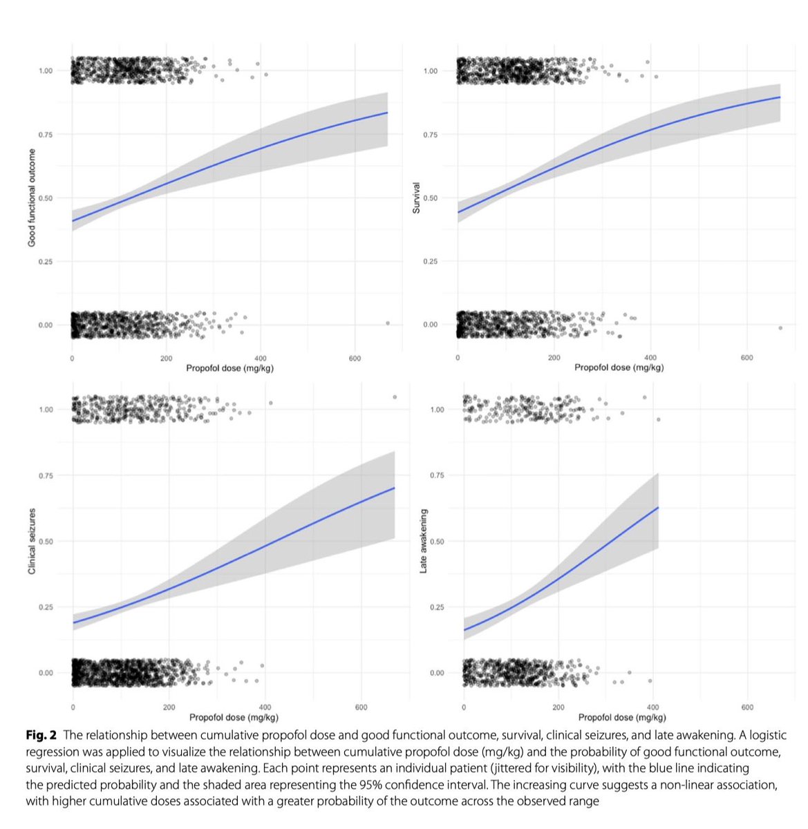
We have a new publication in Resuscitation: Prediction of good functional outcome decreases diagnostic uncertainty in unconscious survivors after out-of-hospital cardiac arrest sciencedirect.com/science/articl…

Wellington ICU (@wellingtonicu) 's Twitter Profile Photo

We have a new publication in Crit Care: Sedation and analgesia in post-cardiac arrest care: a post hoc analysis of the TTM2 trial pmc.ncbi.nlm.nih.gov/articles/PMC12…

We have a new publication in Crit Care: 
Sedation and analgesia in post-cardiac arrest care: a post hoc analysis of the TTM2 trial

pmc.ncbi.nlm.nih.gov/articles/PMC12…
Wellington ICU (@wellingtonicu) 's Twitter Profile Photo

We have two new publications. The first is in Postgrad Med Journ: A single-centre audit of early warning scores and medical emergency team activation in medical and surgical admissions at Wellington Regional Hospital academic.oup.com/pmj/advance-ar…

We have two new publications. The first is in Postgrad Med Journ: A single-centre audit of early warning scores and medical emergency team activation in medical and surgical admissions at Wellington Regional Hospital

academic.oup.com/pmj/advance-ar…
Wellington ICU (@wellingtonicu) 's Twitter Profile Photo

The second is the protocol for the FLASH trial in CCR: Fludrocortisone to treat patients with aneurysmal subarachnoid haemorrhage: Protocol for an international, phase 3, randomised, placebo-controlled, multicentre trial pdf.sciencedirectassets.com/784137/1-s2.0-…

The second is the protocol for the FLASH trial in CCR:

Fludrocortisone to treat patients with aneurysmal subarachnoid haemorrhage: Protocol for an international, phase 3, randomised, placebo-controlled, multicentre trial

pdf.sciencedirectassets.com/784137/1-s2.0-…