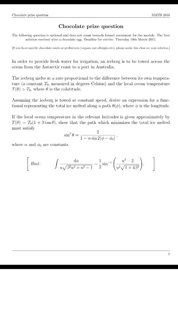
Savie McCombe
@saviemc
ID: 1300154078
25-03-2013 16:29:43
855 Tweet
61 Takipçi
56 Takip Edilen
@rachbeanz CU Spanish & Italian Modern Languages can I come
Leeds ball tickets more difficult to get than glastonbury tickets #waitin2hoursnow come on Leeds University Union