Saumya Gulati (@saumyagulati3) 's Twitter Profile
Saumya Gulati

@saumyagulati3

Process Engineer, Lam Research. Tandem semiconductor microparticle fab for solar-driven H2 | Photocatalytic biomass reforming into chemical fuels

ID: 1280935644525498368

calendar_today08-07-2020 18:43:59

40 Tweet

58 Takipçi

376 Takip Edilen

Saumya Gulati (@saumyagulati3) 's Twitter Profile Photo

Excited to present at the #solarfuels symposium at #NFM20 on "Magnetically Aligned Tandem Semiconductor Microwire Particles for Low-Cost, High-Efficiency Solar Hydrogen Generation". 20- 23 Oct-Tune in to listen to the amazing group of invited speakers at nanoge.org/OnlineNFM20

Karen Chan (@karen_chan_ecat) 's Twitter Profile Photo

TWO open PhD positions @VISION_DTU- atomic-resolution microscopy (bit.ly/vision_PhD1) and electrocatalysis on nanoparticles (bit.ly/vision_PhD2). @HelvegStig DTU Chemjobber Thank you for RTs :)

Nature Portfolio (@natureportfolio) 's Twitter Profile Photo

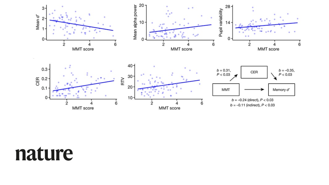
Engaging with multiple forms of digital media simultaneously, known as media multitasking, may have a negative effect on memory performance in young adults, according to a paper in Nature this week. go.nature.com/3oyth5n

Engaging with multiple forms of digital media simultaneously, known as media multitasking, may have a negative effect on memory performance in young adults, according to a paper in Nature this week. go.nature.com/3oyth5n
Saumya Gulati (@saumyagulati3) 's Twitter Profile Photo

Post-doc position available for PhDs in Chemical Engg./Chemistry at the University of Louisville, KY. Experience in CO2 reduction preferred. higheredjobs.com/institution/de… #postdocjobs Postdoctorals.com

Balsara Lab (@balsaralab) 's Twitter Profile Photo

post-doc opening with JCESR at Berkeley Lab, please RT! Seeking a post-doc with TEM/STEM experience for a project on atomic-scale characterization of solid electrolytes. Details below; link to accessible PDF is in alt text.

post-doc opening with <a href="/JCESRHub/">JCESR</a> at <a href="/BerkeleyLab/">Berkeley Lab</a>, please RT! Seeking a post-doc with TEM/STEM experience for a project on atomic-scale characterization of solid electrolytes. Details below; link to accessible PDF is in alt text.
Jie Zhang (@jiezhang_monash) 's Twitter Profile Photo

We are looking for a postdoc fellow and PhD students to develop artificial intelligent methods for quantitative voltammetric data analysis and apply the methodologies to study PCET processes. For more details, please follow the link below: careers.pageuppeople.com/513/cw/en/job/… Thanks for RTs!

Prajwal (@prajwalmanipal) 's Twitter Profile Photo

Sharing a neat dashboard for COVID-19 resources in Indian cities. Select a city or state and it pulls up leads for oxygen cylinders, ICU beds, medicines and plasma. external.sprinklr.com/insights/explo…

Veena Srinivasan (@veenas_water) 's Twitter Profile Photo

US Indian-American Physicians community have unanimously joined hands to provide COVID-19 consultations *FREE OF CHARGE* for India. To schedule your appointment visit mdtok.com/org/covid19 For free booking, use *voucher code – mdtok2021*

Saumya Gulati (@saumyagulati3) 's Twitter Profile Photo

A funded Ph.D. position available at the University of Louisville. Students interested in the field of solar fuels please reach out. The project entails device fabrication for solar hydrogen generation. #PhDposition louisville.edu/energy/solar-f…

H2 View (@h2_view) 's Twitter Profile Photo

The 2020 Tokyo Olympics, which started on July 23, is showcasing on a global scale how #hydrogen can power highly intensive venues in addition to a wide range of applications. #H2View #hydrogennow h2-view.com/story/2020-tok…

Saumya Gulati (@saumyagulati3) 's Twitter Profile Photo

Looking forward to presenting my poster at the International Solar fuels conference on "In-situ Magnetic Alignment of a Slurry of Tandem Semiconductor Microwires Using a Ni Catalyst"!! #ISFC2021

Looking forward to presenting my poster at the  International Solar fuels conference on "In-situ Magnetic Alignment of a Slurry of Tandem Semiconductor Microwires Using a Ni Catalyst"!! 
#ISFC2021
Saumya Gulati (@saumyagulati3) 's Twitter Profile Photo

Join me #F21MRS for the photoelectrocatalysis session on 2nd Dec (1:30 pm- 3 pm) at Hynes 312. I will be presenting my work on: onlinelibrary.wiley.com/doi/abs/10.100… I would love to connect with you!!!

Saumya Gulati (@saumyagulati3) 's Twitter Profile Photo

Great experience at the #F21MRS conference. Explored the lovely city of Boston. It was an honor to see Dr. Harry Atwater's talk. I felt the faculty-candidate poster sessions were especially helpful to gauge your progress and catch up on the latest advancements in your field.

Great experience at the #F21MRS conference. Explored the lovely city of Boston. It was an honor to see Dr. Harry Atwater's talk. I felt the faculty-candidate poster sessions were especially helpful to gauge your progress and catch up on the latest advancements in your field.
Feng Jiao (@jiao_lab) 's Twitter Profile Photo

We are hiring a postdoctoral researcher with a background in electrochemistry and carbon materials synthesis. Please help me retweet. Thanks.

Boettcher Lab (@boettcherlab) 's Twitter Profile Photo

Our complete electrochemical engineering course video lecture set is now available to complete our fundamentals lecture course. electrochemistry.uoregon.edu/education/elec…

Saumya Gulati (@saumyagulati3) 's Twitter Profile Photo

Incredibly happy to share my latest work on the optical and photoelectrochemical characterization of tandem semiconductor microwire slurries for potential solar fuels generation. pubs.acs.org/doi/full/10.10… ACS Publications