Pendant le confinement à Wuhan, le nb de contacts sociaux journaliers à été diminué d'un facteur de 7 à 9, diminuant d'un même facteur le R0. Le distancement social à lui seul a permis de stopper l'épidémie en Chine, ce que n'aurait pas permis la fermeture des écoles uniquement.
La détection d'anticorps contre le Covid-19 par des tests sérologiques semble fonctionner bit.ly/3aaVGqy et l'utilisation de ces tests pourrait contribuer à sortir du confinement.
24 mars. On observe un effet probable de report au niveau des décès et une légère remontée des nouveaux patients en USI. Côté bonne nouvelle, le nombre de nouvelles hospitalisations diminue pour le deuxième jour consécutif.
A quick overview of COVID-19 mortality in Europe on 01 Apr 2020
I have updated the document and plots: correction of some bugs regarding lock-down data
collaboratif.cirad.fr/share/s/3SKeKZ…
Taux de mortalité due à Covid-19 en Europe : pourquoi de telles différences entre les pays ? Une question essentielle dont il faudra bien tirer les conséquences.
#COVID-19, le B-A BA : - l'émergence. En bref, avec des liens choisis pour en savoir plus sciences-en-ligne.net/news/item/303#… illus By Felipe Esquivel Reed - Own work, CC BY-SA 4.0, COVID-19 virion
Update for an overview of COVID-19 mortality in Euope:
collaboratif.cirad.fr/share/s/3SKeKZ…
This link is permanent. I will release daily updates (ECDC mortality updates ca, 0:00 Paris time). I have changed the model used for smoothing the death growth rate: now Bayesian order-2 random walk.
Quick overview od COVID-19 mortality rates in the general population of European countries (10 Apr 2020).
Feed-back more than welcome
collaboratif.cirad.fr/share/s/3SKeKZ…
fig1 daily and cumulative rates
fig2 by country
fig3 map
fig4 growth rate
An overview of #SARS-CoV-2 genome sequences from Germany, including early releases by @charitevirology. Some interesting insights into local clustering and wider dispersal, for people familiar with German geography.
civnb.info/sequences/
COVID-19 mortality in Europe: the peak looks behind in Spain, others still have to wait to make sure.
collaboratif.cirad.fr/share/s/3SKeKZ…
Fig1. Daily death rates
Fig2. Death rates by country
Fig3. Map
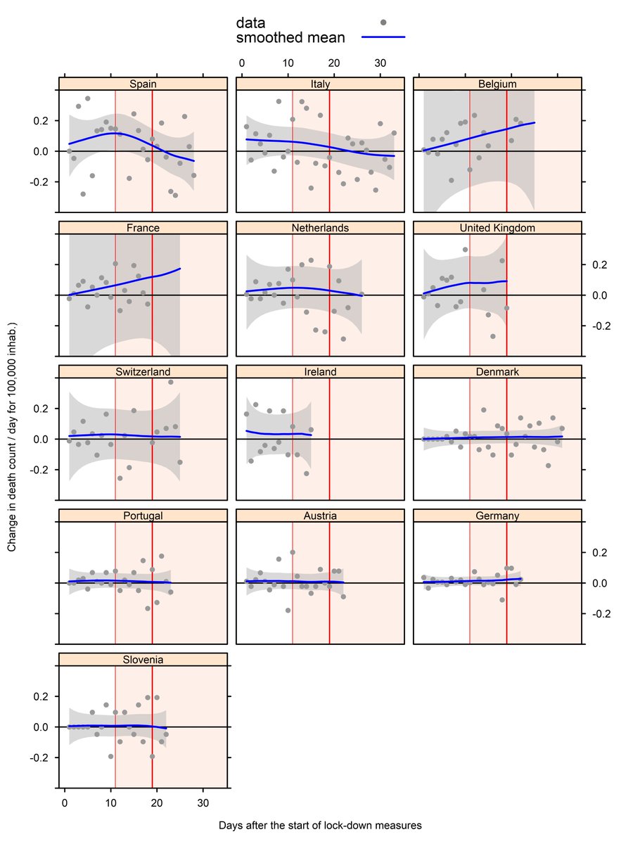
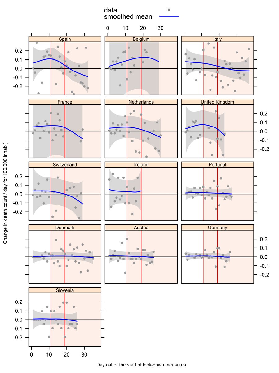
Fig4. Growth rate
Good news for COVID-19 mortality in Europe: generalized trend in decreasing death rate, the first time ever since the start of the epidemic in Europe. Stay at home to make sure the hope becomes an evidence.