Olivia Wik (@oliviawik) 's Twitter Profile
Olivia Wik

@oliviawik

Writer. Tall Person. She/Her. BLM. Listens to Sweater Weather.

ID: 310962804

linkhttp://www.oliviawik.com calendar_today04-06-2011 17:12:53

3,3K Tweet

3,3K Followers

717 Following

Rachel Notley (@rachelnotley) 's Twitter Profile Photo

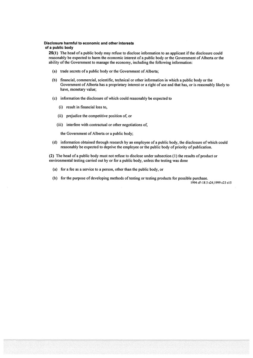
#alohagate receipts. FOIP information of Huckabay's trip to the UK, known to the Premier's office weeks beforehand. #ableg #abpoli #abbudget #abbudget2021

#alohagate receipts.

FOIP information of Huckabay's trip to the UK, known to the Premier's office weeks beforehand. #ableg #abpoli #abbudget #abbudget2021
Janis Irwin (@janisirwin) 's Twitter Profile Photo

A few calls to action on the Transgender Day of Visibility: 🏳️‍⚧️ Show up as an ally 🏳️‍⚧️ Amplify trans voices 🏳️‍⚧️ Fight transphobia And don’t just do it today, but every day. Because trans rights are human rights. #TDOV #TDOV2021 #ableg

A few calls to action on the Transgender Day of Visibility: 
🏳️‍⚧️ Show up as an ally
🏳️‍⚧️ Amplify trans voices 
🏳️‍⚧️ Fight transphobia

And don’t just do it today, but every day.

Because trans rights are human rights.

#TDOV #TDOV2021 #ableg
Olivia Wik (@oliviawik) 's Twitter Profile Photo

My Facebook and Instagram were hacked and deleted last night 😭 I guess, don’t click on a sketchy link that my accounts send/have sent you 🙃

Olivia Wik (@oliviawik) 's Twitter Profile Photo

Oh, would you look at that?! I have a song coming out next Friday! Help a girl out and pre-save "Let’s Dance" to your Spotify. smarturl.it/oliviawik FACTOR #factorfunded #canadianmusic

Oh, would you look at that?! I have a song coming out next Friday! Help a girl out and pre-save "Let’s Dance" to your Spotify. smarturl.it/oliviawik 

<a href="/FACTORCanada/">FACTOR</a> #factorfunded #canadianmusic
Olivia Wik (@oliviawik) 's Twitter Profile Photo

I’m so happy to announce that my latest single, Let’s Dance, is out now on all streaming platforms!!! Please stream it, stream it again, and then 5 more times😜#factorfunded open.spotify.com/track/1mnTVNTs…

Lefuturewave (@lefuturewave_) 's Twitter Profile Photo

Olivia Wik’s (Olivia Wik) latest single ''Let’s Dance'' exudes a cheerful spirit. It’s all about having a connection so intense that when you’re finally allowed to have an intimate moment with someone, it feels like full electricity. lefuturewave.com/2022/01/30/int…