Mr. RAVI PRAKASH MEHRA (@mrraviprak277) 's Twitter Profile
Mr. RAVI PRAKASH MEHRA

@mrraviprak277

ID: 1665619563021762561

calendar_today05-06-2023 07:20:51

280 Tweet

406 Followers

950 Following

Rumi साहब (@mahsar_khan) 's Twitter Profile Photo

ज़ब कोई व्यक्ति आपकी मदद करना चाहता है। जबकी वाह स्वयं भी संघर्ष कर रहा है।... _______तो वो मदद नहीं प्रेम है।

ज़ब कोई व्यक्ति आपकी मदद करना चाहता है।
जबकी वाह स्वयं भी संघर्ष कर रहा है।...
_______तो वो मदद नहीं प्रेम है।
Vatsala Singh (@_vatsalasingh) 's Twitter Profile Photo

अपना ईमेल आईडी का पासवर्ड 1 मिनट में कैसे पता करें ?

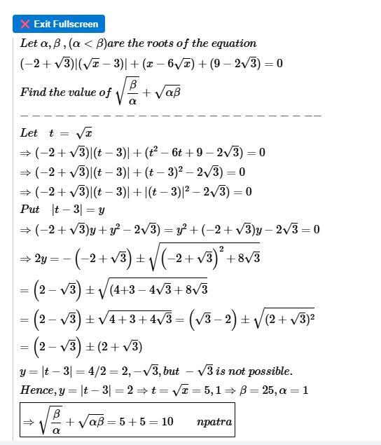
𝗘𝗔𝗦𝗬 𝗠𝗔𝗧𝗛 (@math_learnerr) 's Twitter Profile Photo

Why (a−b)³ = a³ − 3a²b + 3ab² − b³ Learn the cube formula using a 3D block subtraction model. This visual proof makes binomial expansion easy to remember.

Why (a−b)³ = a³ − 3a²b + 3ab² − b³

Learn the cube formula using a 3D block subtraction model. This visual proof makes binomial expansion easy to remember.
Ramswroop Vishnoi (@ramvishnoi71) 's Twitter Profile Photo

19 -20 की उम्र हो ओर विश्व प्रसिद्ध उदयपुर जैसे शहर की नौकरी हो, बदन पर राजस्थान पुलिस की वर्दी हो 🤗🤗🤗🤗💐

19 -20 की उम्र हो ओर विश्व प्रसिद्ध उदयपुर जैसे शहर की नौकरी हो, बदन पर राजस्थान पुलिस की वर्दी हो   🤗🤗🤗🤗💐
Mannu meeNa (@rmeena16091) 's Twitter Profile Photo

Jo bhi friend's meri 🆔 ko follow krega us ko 💯💯💯% follow back milega 💯💯✅✅🙏🙏🔄🔄🔄🔄🔙🔙🔙👈👈👈👈👈👈👈👈💞💞💞💞💞❤️❤️❤️❤️

SARITA_BISHNOI (@sarita_bishnoi2) 's Twitter Profile Photo

आपने राजस्थान चतुर्थ श्रेणी भर्ती परीक्षा का स्कूटनी फॉर्म भर दिया क्या? स्कूटनी फॉर्म भरने में आपको किसी भी प्रकार की समस्या का सामना करना पड़े तो जरूर बताएं आपकी समस्या को सॉल्व किया जाएगा...🔥💯

मौर्य वंश का बेटा ! (@suneelkuma24440) 's Twitter Profile Photo

Good evening X family 🙏 क्या आपको एक premium follower चाहिए? अगर चाहिए तो आप लोग कमेंट करे मै आपको फॉलो करूंगा । Follow करे follow back 🔙 💯 मिलेगा। चाहे ब्लूटिक हो या नॉन ब्लूटिक सबका साथ सबका विकास 🙏

Good evening X family 🙏

क्या आपको एक premium follower चाहिए?
  अगर चाहिए तो आप लोग कमेंट करे मै आपको फॉलो करूंगा ।

Follow करे follow back 🔙 💯 मिलेगा। चाहे ब्लूटिक हो या नॉन ब्लूटिक सबका साथ सबका विकास 🙏