Gilda (@monikbur) 's Twitter Profile
Gilda

@monikbur

Me he metido aquí y ahora no encuentro la salida, si alguien la sabe...por DM!

ID: 205310696

calendar_today20-10-2010 15:49:36

18,18K Tweet

275 Followers

512 Following

Jesus Rico (@susorico) 's Twitter Profile Photo

La FIFA te suspende… la FIFA que ha hecho un mundial en invierno en un país sin derechos humanos y con más líos que todas las mafias juntas y todavía crees que tienes la razón y que te vas a salvar.

Gilda (@monikbur) 's Twitter Profile Photo

Tremendos mierdas los jugadorOS de fútbol que tardaron minutos en posicionarse a favor de Vinicius por razismo pero lo de apoyar a Jenni Hermoso por acoso ya tal...

Jot Down Magazine (@jotdownspain) 's Twitter Profile Photo

Una llamada telefónica plantea un juego siniestro: responder correctamente diez cuestiones sobre el cine de terror para no acabar siendo trinchado por un cuchillo. ¿Sobrevivirías? Demuéstralo. jotdown.es/2023/08/serias…

MeteoMóstoles (@meteomostoles) 's Twitter Profile Photo

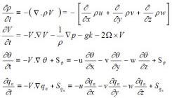
Los meteorólogos somos los primeros que nos gustaría saber dónde va a llover de forma concreta y en qué momento. Pero hay un problema alcalde, las ecuaciones que le muestro y que rigen el comportamiento de la atmósfera, hay que hacer aproximaciones para resolverlas,y hay errores.

Los meteorólogos somos los primeros que nos gustaría saber dónde va a llover de forma concreta y en qué momento. Pero hay un problema alcalde, las ecuaciones que le muestro y que rigen el comportamiento de la atmósfera, hay que hacer aproximaciones para resolverlas,y hay errores.
Pasanospoco (@pasanospoco) 's Twitter Profile Photo

Resulta que lo de privatizar y liberalizar el sector público español ha resultado en que gobiernos extranjeros controlen empresas estratégicas de telecomunicaciones, energéticas...

Rimanegra (@rimanegra_) 's Twitter Profile Photo

Las preguntas que tiene preparadas Pablo Motos: - ¿Tienes novio? - ¿Duermes con bragas? ¿De qué color son? - ¿Te depilas el chumino? - ¿Te sudan las tetas en los partidos? - ¿Jugarías sin sujetador marcando pezones? - ¿Jugarías igual de bien con mis pelotas? - ¿Un piquito?

Nenedenadie (@nenedenadie) 's Twitter Profile Photo

🔴 Las rebajas de penas de las que no se habla 👇🏻 ➖La mujer de Bárcenas sale de prisión gracias a una ONG que recibe dinero público del Gobierno de Ayuso ➖Rosalía Iglesias fue condenada a casi 13 años de prisión, pero en apenas 3 años ya goza de semilibertad

🔴 Las rebajas de penas de las que no se habla 👇🏻

➖La mujer de Bárcenas sale de prisión gracias a una ONG que recibe dinero público del Gobierno de Ayuso 

➖Rosalía Iglesias fue condenada a casi 13 años de prisión, pero en apenas 3 años ya goza de semilibertad
Mavi Mata (@mavimata2023) 's Twitter Profile Photo

El otro día escuché a Fernando Pizarro hablar sobre la necesidad de aumentar la natalidad. El aumento demográfico no depende sólo de la natalidad y la perdida crónica de población de #Plasencia tampoco. Pistas de lo que NO ayuda a aumentar la "natalidad" sino a peder población 👇🧵

SOS Abuelos (@sosabuelos1) 's Twitter Profile Photo

#Murcia #DOLLY tiene 11 añitos. No tuvo una vida digna. No ha tenido la suerte de encontrar una familia, y se nos parte el alma que tenga que estar en una jaula. Por favor necesitamos una familia para ella, que este sueño tranquilo y en paz lo continúe. Ayúdanos a conseguirlo,

#Murcia
#DOLLY tiene 11 añitos. No tuvo una vida digna.
No ha tenido la suerte de encontrar una familia, y se nos parte el alma que tenga que estar en una jaula.

Por favor necesitamos una familia para ella, que este sueño tranquilo y en paz lo continúe. Ayúdanos a conseguirlo,
Cadena SER (@la_ser) 's Twitter Profile Photo

El calor extremo aniquilará a los humanos dentro de 250 millones de años, según un nuevo estudio científico Informa Javier Gregori cadenaser.com/nacional/2023/…