INFN Sezione di Napoli (@infnnapoli) 's Twitter Profile
INFN Sezione di Napoli

@infnnapoli

ID: 775421249115811840

linkhttp://www.na.infn.it calendar_today12-09-2016 19:50:07

67 Tweet

98 Takipçi

93 Takip Edilen

SuperQuarkRai (@superquarkrai) 's Twitter Profile Photo

Piero Angela presenta gli autori e i giovani divulgatori che lo affiancheranno in #Superquark+, ieri poco prima della conferenza stampa di presentazione a Roma. Le puntate saranno disponibili dal #22dicembre su #RaiPlay.

INFN (@infn_) 's Twitter Profile Photo

⭐️ Un segnale di onde gravitazionali che arriva da 500 milioni di anni luce di distanza dalla Terra: le collaborazioni scientifiche LIGO e Virgo hanno osservato un evento compatibile con la fusione di due stelle di neutroni. #GW190425 ➡️ home.infn.it/it/comunicazio…

⭐️ Un segnale di onde gravitazionali che arriva da 500 milioni di anni luce di distanza dalla Terra: le collaborazioni scientifiche LIGO e Virgo hanno osservato un evento compatibile con la fusione di due stelle di neutroni. #GW190425
➡️ home.infn.it/it/comunicazio…
INFN Sezione di Napoli (@infnnapoli) 's Twitter Profile Photo

💫🛸 è stata annunciata la scoperta di un pianeta extrasolare di dimensioni terrestri nella zona abitabile intorno alla stella TOI 700 da parte della missione TESS🚀 💥 Il team di TESS include anche il professore Giovanni Covone, associato INFN Napoli 📲 bit.ly/2QY3QKI

💫🛸 è stata annunciata la scoperta di un pianeta extrasolare di dimensioni terrestri nella zona abitabile intorno alla stella TOI 700 da parte della missione TESS🚀
💥 Il team di TESS include anche il professore Giovanni Covone, associato INFN Napoli
📲 bit.ly/2QY3QKI
INFN Sezione di Napoli (@infnnapoli) 's Twitter Profile Photo

🏅 La Società Albert Einstein ha deciso di assegnare la medaglia Einstein 2020 a tutti i membri della Collaborazione EHT, tra loro c'è anche la napoletana Mariafelicia De Laurentis 🎉 Tutti i dettagli tra le nostre news: bit.ly/2Tkjdjs

🏅 La Società Albert Einstein ha deciso di assegnare la medaglia Einstein 2020 a tutti i membri della Collaborazione EHT, tra loro c'è anche la napoletana Mariafelicia De Laurentis 🎉

Tutti i dettagli tra le nostre news: bit.ly/2Tkjdjs
INFN Sezione di Napoli (@infnnapoli) 's Twitter Profile Photo

Antonio Sarno è tra i vincitori del Grant Giovani INFN che mira a sostenere il lavoro di giovani ricercatori. Il suo progetto ha lo scopo di sviluppare una piattaforma per la realizzazione di test per apparati dedicati alla diagnosi del cancro al seno bit.ly/2TY797E

Antonio Sarno è tra i vincitori del Grant Giovani <a href="/INFN_/">INFN</a> che mira a sostenere il lavoro di giovani ricercatori.
Il suo progetto ha lo scopo di sviluppare una piattaforma per la realizzazione di test per apparati dedicati alla diagnosi del cancro al seno
bit.ly/2TY797E
INFN Sezione di Napoli (@infnnapoli) 's Twitter Profile Photo

Sapete che esiste un'app che vi avvisa quando viene rivelata un'onda gravitazionale?⁣ ⁣ 📱Il vostro smartphone vi regala la stessa emozione dei ricercatori INFN - Sezione di Napoli che sono tra i fondatori… instagram.com/p/B76D3tVi2vC/…

INFN (@infn_) 's Twitter Profile Photo

🌊✨ Ieri l’interferometro VIRGO ha raggiunto la sua più alta sensibilità. Ora può osservare onde gravitazionali generate dalla collisione di stelle di neutroni distanti fino a 200 milioni di anni luce dalla Terra. #O3ishere

🌊✨ Ieri l’interferometro VIRGO ha raggiunto la sua più alta sensibilità. Ora può osservare onde gravitazionali generate dalla collisione di stelle di neutroni distanti fino a 200 milioni di anni luce dalla Terra. #O3ishere
INFN Sezione di Napoli (@infnnapoli) 's Twitter Profile Photo

Antonio Sarno, associato alle ricerche INFN - Sezione di Napoli, è tra i vincitori del Grant Giovani 🏅INFN - Istituto Nazionale di Fisica Nucleare che mira a sostenere il lavoro di eccellenza di “giovani ricercatori… instagram.com/p/B8gwd9jiEeF/…

INFN Sezione di Napoli (@infnnapoli) 's Twitter Profile Photo

I quark si trasformano l’uno nell’altro grazie all’interazione elettrodebole, che può mescolare tra loro famiglie di quark diverse. 🕒 Domani alle 15, Orso Iorio terrà un seminario sullo studio di queste relazioni per il più raro e più pesante dei quark in Natura: il quark top 🔝

I quark si trasformano l’uno nell’altro grazie all’interazione elettrodebole, che può mescolare tra loro famiglie di quark diverse.
🕒 Domani alle 15, Orso Iorio terrà un seminario sullo studio di queste relazioni per il più raro e più pesante dei quark in Natura: il quark top 🔝
INFN Sezione di Napoli (@infnnapoli) 's Twitter Profile Photo

📃 XENON1T, uno degli esperimenti di punta nella ricerca diretta della materia oscura, ha presentato oggi l’analisi dei suoi ultimi dati, mostrando un inatteso eccesso di eventi. 📊 Il segnale osservato potrebbe… instagram.com/p/CBipDKEHhia/…

INFN Sezione di Napoli (@infnnapoli) 's Twitter Profile Photo

📈Nature Scientific Report ha pubblicato un lavoro del Prof. Francesco Sannino sul modo in cui una seconda ondata di infezioni da COVID-19 potrebbe evolversi in tutta Europa nei prossimi mesi 👉Sul nostro sito maggiori dettagli: bit.ly/3cmCKHr

📈Nature Scientific Report ha pubblicato un lavoro del Prof. Francesco Sannino sul modo in cui una seconda ondata di infezioni da COVID-19 potrebbe evolversi in tutta Europa nei prossimi mesi
👉Sul nostro sito maggiori dettagli: bit.ly/3cmCKHr
INFN Sezione di Napoli (@infnnapoli) 's Twitter Profile Photo

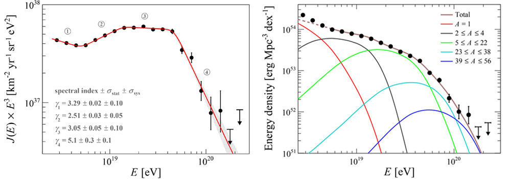
💫 L’Osservatorio Auger ha misurato, con una precisione mai ottenuta prima, lo spettro in energia dei raggi cosmici di altissima energia, le particelle più energetiche dell'Universo. 👉 Ecco il link per tutti i dettagli: bit.ly/3ctaent

💫 L’Osservatorio Auger ha misurato, con una precisione mai ottenuta prima, lo spettro in energia dei raggi cosmici di altissima energia, le particelle più energetiche dell'Universo.
👉 Ecco il link per tutti i dettagli: bit.ly/3ctaent
INFN (@infn_) 's Twitter Profile Photo

Il sito CovidStat, che propone un quadro aggiornato della situazione #covid19 in Italia, è stato aggiornato con una nuova sezione che presenta un'analisi dei dati forniti da Istituto Superiore di Sanità con il quale l'INFN ha stabilito un accordo di collaborazione. ➡️ covid19.infn.it/iss/

Il sito <a href="/covidstat_infn/">CovidStat</a>, che propone un quadro aggiornato della situazione #covid19 in Italia, è stato aggiornato con una nuova sezione che presenta un'analisi dei dati forniti da <a href="/istsupsan/">Istituto Superiore di Sanità</a> con il quale l'INFN ha stabilito un accordo di collaborazione.
➡️ covid19.infn.it/iss/
INFN Sezione di Napoli (@infnnapoli) 's Twitter Profile Photo

Premiate Mariagabriella Pugliese, docente dell'Unina Federico II e incaricata di ricerca dell'INFN - Sezione di Napoli, e Flavia Groppi, dell'Università e della Sezione INFN di Milano. Maggiori dettagli su na.infn.it/mariagabriella…

CBS Saturday Morning (@cbssaturday) 's Twitter Profile Photo

A new breakthrough technology is helping researchers unearth secrets of centuries past. Chris Livesay takes a look at the game-changing detector that is helping scientists see hidden treasures in tombs, pyramids and more.