
Michal Hawranek
@hawranekmichal
Head of Catheterization Laboratory Silesian Center for Heart Disease; President, Association for Cardiovascular Interventions of Polish Cardiac Society
ID: 1001461366492889088
29-05-2018 13:52:50
1,1K Tweet
482 Takipçi
496 Takip Edilen

In this edition of EuroIntervention read about the work of the #EAPCI Valvular and Structural Interventions Committee bit.ly/3DHugN9


We had a great GACI session on "TAVI without cardiac surgery on-site" with Ignacio J. Amat, Michal Hawranek, and Fabio Tarantino. Mamas A. Mamas Hany Ragy Les Jeunes du GACI curzen Michael Fabbro Raffaele Di Giacomo, PhD Antonin Trimaille BCIS Radoslaw Parma Simone Biscaglia Gianluca Campo William Suh, MD


💫 17th Annual #women #cardiac #care 2025 in #India 🇮🇳 🪷wonderful atmosphere ✨great lectures ✨excellent discussions 🔥 🙏 for the invitation Dr Sarita Rao and WINCARS team chief Michal Hawranek Valeria Paradies Biljana Parapid, MD, PhD, FESC MIЯVΛƬ #IC


Dr Asif Qasim MA PhD FRCP Rasha Al-Lamee The Lancet Our Rasha Al-Lamee is a force of nature‼️ 🥰 Kudos to the entire team of course & lets’s get #ACAD trending. 🥳 MIЯVΛƬ #IC Hany Ragy Dr Shrilla Banerjee MD FRCP 💙 Michal Hawranek Manzo-Silberman Stephane milosz jaguszewski Marta Kaluzna-Oleksy Aloke Finn Valeria Paradies Mamas A. Mamas Radmila Jankovic Poonam Velagapudi #CAD #WIC


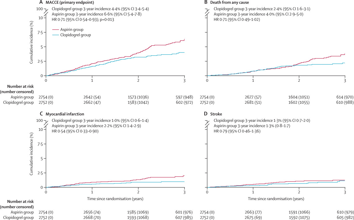
In a RCT including 5542 patients at high risk of recurrent ischemic events and who completed standard post-PCI DAPT, clopidogrel monotherapy reduced the incidence of death, MI, and stroke, without an increase in the risk of bleeding thelancet.com/journals/lance… The Lancet


⭐️Join #EuroPCR for the #ultimate hands-on experience Either you want to practice your #technical or #imaging skills, #EuroPCR team has you #covered w/ endless workshop and simulation sessions PCRonline 🫀 EAPCIPresident chief nicolas dumonteil DrThomasCuisset Nieves Gonzalo

#Euro4C : complex PCI for severely calcified, uncrossable RCA lesion View Part 2⃣ pcronline.com/Cases-resource… Discover how Michal Hawranek and Łukasz Pyka treated this case which showed that severely calcified lesions, especially calcified nodules, may require the use of multiple


Eyes on Deutsche Gesellschaft für Kardiologie! We should prepare such sessions together AGIK 🇩🇪🧑🤝🧑🇵🇱 AISN PTK Michal Hawranek Zenon Huczek EAPCIPresident

🚨#EAPCI Webinar Alert 🚨 🎯 Management of obese patients with and without diabetes in ACS - acute and in-hospital care chief Mamas A. Mamas Valeria Paradies #DrKoskinas 🗓️ 13 May 2025 - 18:00 CET 👉 Free registration: esc365.escardio.org/event/2001


✅ Mark your calendars for this #EAPCI Webinar! 🚨 Don’t miss an engaging session with Prof. chief, Prof. Mamas A. Mamas, Dr. Valeria Paradies, and Dr. Koskinas as they explore key challenges in #ACS care. Focus: How to manage obese patients, with or without #diabetes in


You’re invited! We hope to see you at our symposium next week at #EuroPCR 2025 in Paris. 📍Wednesday, May 21 at 4:30 PM in Room 251 Advancing the standard of care in PCI with Bioadaptor: from simple to complex Join renowned faculty including MIЯVΛƬ #IC , David Erlinge ,


See you all on this year ESC Congress in Madrid!! Bartosz Hudzik MD PhD FESC FACC Michal Hawranek


#EuroPCR 2025 🇫🇷 Day 3️⃣ Do not miss today 🔔 ⭐️#TAVI Risky Complications Session in Room 252A at 945 am prepared by our #young #EAPCI committee Mario Iannaccone Dr Aleksandra Gąsecka & all 📍Don’t forget to stop by the #EAPCI booth (M75) to learn more about #EAPCI membership and






⚡️🎧 New #Podcast | #AnginaSchool How is #CAD evolving? From #anatomy➡️#function From #intervention➡️#prevention Prof. Rasha Al-Lamee Rasha Al-Lamee shares insights from the 2025 #Lancet #Commission on redefining atherosclerosis — before symptoms even appear👇 Michal Hawranek