Groundwater Hydrology Group (@ghs_barcelona) 's Twitter Profile
Groundwater Hydrology Group

@ghs_barcelona

Grup d'Hidrologia Subterrània - Hidrogeology Group
Centre públic de recerca, docència i transferència de coneixement. #Hidrogeologia #Modelització #Water

ID: 1371389244866977793

linkhttps://h2ogeo.upc.edu calendar_today15-03-2021 09:14:19

446 Tweet

484 Followers

468 Following

Groundwater Hydrology Group (@ghs_barcelona) 's Twitter Profile Photo

📢 NEW WEBINAR 🗣 Silvia De Simone The impact of heterogeneities on the Hydro-Mechanical behavior of subsurface media. ONLINE Jueves 17 de Octubre 15:00hs en directo en: meet.google.com/snb-qdkn-eex

📢 NEW WEBINAR

🗣 Silvia De Simone

The impact of heterogeneities on the Hydro-Mechanical behavior of subsurface media.

ONLINE Jueves 17 de Octubre 15:00hs en directo en: meet.google.com/snb-qdkn-eex
Groundwater Hydrology Group (@ghs_barcelona) 's Twitter Profile Photo

📢 ¡PhD Candidate in hydro(geo)logy, geo-statistics and Contaminants of Emerging Concern! 🌊 Apply ➡forms.gle/R2ZTArthB1XCGQ…

📢 ¡PhD Candidate in hydro(geo)logy, geo-statistics and Contaminants of Emerging Concern! 🌊

Apply ➡forms.gle/R2ZTArthB1XCGQ…
Groundwater Hydrology Group (@ghs_barcelona) 's Twitter Profile Photo

📘NEW SCIENTIFIC ARTICLE Spatial and seasonal fluctuations in fresh submarine groundwater discharge revealed by marine continuous resistivity profiling. ➡️nature.com/articles/s4159…

📘NEW SCIENTIFIC ARTICLE    

Spatial and seasonal fluctuations in fresh submarine groundwater discharge revealed by marine continuous resistivity profiling.

➡️nature.com/articles/s4159…
Groundwater Hydrology Group (@ghs_barcelona) 's Twitter Profile Photo

📘NEW SCIENTIFIC ARTICLE An Improved Scheme for the Finite Difference Approximation of the Advective Term in the Heat or Solute Transport Equations. ➡️link.springer.com/article/10.100…

📘NEW SCIENTIFIC ARTICLE      

An Improved Scheme for the Finite Difference Approximation of the Advective Term in the Heat or Solute Transport Equations.

➡️link.springer.com/article/10.100…
CREAF (@creaf_ecologia) 's Twitter Profile Photo

Entre las desinformaciones #DANA que corrían estos días, hemos visto algunas personas que defendían que la canalización del Turia en el año 69 (durante el Régimen) ha salvado #Valencia de una tragedia aún peor. Esta afirmación es muy MUY engañosa y peligrosa. Lo explicamos:

Entre las desinformaciones #DANA que corrían estos días, hemos visto algunas personas que defendían que la canalización del Turia en el año 69 (durante el Régimen) ha salvado #Valencia de una tragedia aún peor. Esta afirmación es muy MUY engañosa y peligrosa. Lo explicamos:
ICTA-UAB (@icta_uab) 's Twitter Profile Photo

Seis investigadores del ICTA-UAB reciben el Premio Extraordinario de Doctorado Se trata de Verónica Arcas Pilz, Marc Diego Feliu , Théo Alois Dimitri Konc, Giulia Mattalia, Arnau Sala Martí y Congcong Zhang. uab.cat/web/sala-de-pr… a través de Universitat Autònoma de Barcelona

Seis investigadores del <a href="/ICTA_UAB/">ICTA-UAB</a> reciben el Premio Extraordinario de Doctorado 

Se trata de Verónica Arcas Pilz, <a href="/MarcDiegoFeliu/">Marc Diego Feliu</a>  , Théo Alois Dimitri Konc, Giulia Mattalia, Arnau Sala Martí y Congcong Zhang.

uab.cat/web/sala-de-pr… a través de <a href="/UABBarcelona/">Universitat Autònoma de Barcelona</a>
Groundwater Hydrology Group (@ghs_barcelona) 's Twitter Profile Photo

🗣️Seis investigadores del ICTA-UAB reciben el Premio Extraordinario de Doctorado. Entre ellos Marc Diego Feliu integrante del Grupo de Hidrología Subterránea. uab.cat/web/sala-de-pr…… a través de Universitat Autònoma de Barcelona

🗣️Seis investigadores del <a href="/ICTA_UAB/">ICTA-UAB</a> reciben el Premio Extraordinario de Doctorado.
   
Entre ellos <a href="/MarcDiegoFeliu/">Marc Diego Feliu</a> integrante del Grupo de Hidrología Subterránea.

uab.cat/web/sala-de-pr…… a través de <a href="/UABBarcelona/">Universitat Autònoma de Barcelona</a>
Groundwater Hydrology Group (@ghs_barcelona) 's Twitter Profile Photo

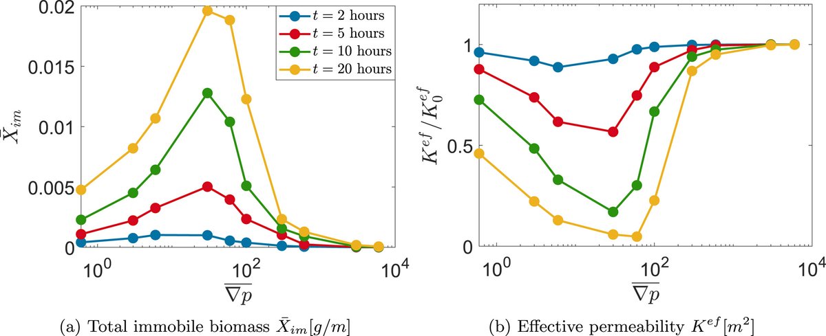
📘NEW SCIENTIFIC ARTICLE Pore-Scale Coupling of Flow, Biofilm Growth, and Nutrient Transport: A Microcontinuum Approach. ➡️agupubs.onlinelibrary.wiley.com/doi/10.1029/20…

📘NEW SCIENTIFIC ARTICLE

Pore-Scale Coupling of Flow, Biofilm Growth, and Nutrient Transport: A Microcontinuum Approach.

➡️agupubs.onlinelibrary.wiley.com/doi/10.1029/20…
Groundwater Hydrology Group (@ghs_barcelona) 's Twitter Profile Photo

📢 NEW WEBINAR 🗣️Núria Ferrer Assessing the Impact of Flood-MAR on Groundwater Contamination. ONLINE Jueves 28 de Noviembre 15:00hs en directo en: meet.google.com/snb-qdkn-eex

📢 NEW WEBINAR  

🗣️Núria Ferrer

Assessing the Impact of Flood-MAR on Groundwater Contamination.

ONLINE Jueves 28 de Noviembre 15:00hs en directo en: meet.google.com/snb-qdkn-eex
Groundwater Hydrology Group (@ghs_barcelona) 's Twitter Profile Photo

🚰 El miracle de beure aigua reciclada En aquest article a La Vanguardia, Daniel Fernandez-Garcia, ens explica el projecte pilot que s'està duent a terme amb l'objectiu d'aprofitar aigües depurades Accés a l'article: ⬇️ lavanguardia.com/vida/20241207/…

🚰 El miracle de beure aigua reciclada

En aquest article a La Vanguardia, Daniel Fernandez-Garcia, ens explica el projecte pilot que s'està duent a terme amb l'objectiu d'aprofitar aigües depurades

Accés a l'article: ⬇️ lavanguardia.com/vida/20241207/…
Groundwater Hydrology Group (@ghs_barcelona) 's Twitter Profile Photo

📚Daniel Fernández-García y Xavier Sánchez-Vila, investigadores del GHS, fueron invitados a participar como coautores en esta obra, presentando su capítulo titulado "La importancia de las aguas subterráneas en la gestión moderna integrada de los recursos hídricos".

📚Daniel Fernández-García y Xavier Sánchez-Vila, investigadores del GHS, fueron invitados a participar como coautores en esta obra, presentando su capítulo titulado "La importancia de las aguas subterráneas en la gestión moderna integrada de los recursos hídricos".
Groundwater Hydrology Group (@ghs_barcelona) 's Twitter Profile Photo

WORKSHOPS EN HIDROGEOLOGÍA 💧 📢 ¡Inscripciones abiertas! Amplía tus conocimientos en el apasionante mundo de la hidrogeología. 📖 PRÁCTICA DE ENSAYOS Y ESTIMACIÓN DE PARÁMETROS HIDRÁULICOS ℹ️ forms.gle/4jqz26ftXcnu93…

WORKSHOPS EN HIDROGEOLOGÍA 💧
  📢 ¡Inscripciones abiertas! Amplía tus conocimientos en el apasionante mundo de la hidrogeología.  

📖 PRÁCTICA DE ENSAYOS Y ESTIMACIÓN DE PARÁMETROS HIDRÁULICOS  

ℹ️ forms.gle/4jqz26ftXcnu93…
Groundwater Hydrology Group (@ghs_barcelona) 's Twitter Profile Photo

🌊🌍 Join the Salt Water Intrusion Meeting 2025 in Barcelona 🌟 📅 Dates: June 2–6, 2025 📍 Location: Barcelona, Catalunya 👉swim2025.cimne.com/abstract_submi…

🌊🌍 Join the Salt Water Intrusion Meeting 2025 in Barcelona 🌟

📅 Dates: June 2–6, 2025
📍 Location: Barcelona, Catalunya

👉swim2025.cimne.com/abstract_submi…
Groundwater Hydrology Group (@ghs_barcelona) 's Twitter Profile Photo

📢 NEW WEBINAR 🗣 Sebastián González Fuentes (Doctoral Researcher, IDAEA-CSIC) Title: Coupled hydro-chemical-mechanical simulations of an engineered concrete barrier in a deep geological repository for nuclear waste Jueves 30 de Enero en directo en: meet.google.com/snb-qdkn-eex

📢 NEW WEBINAR

🗣 Sebastián González Fuentes (Doctoral Researcher, IDAEA-CSIC)

Title: Coupled hydro-chemical-mechanical simulations of an engineered concrete barrier in a deep geological repository for nuclear waste

Jueves 30 de Enero en directo en: meet.google.com/snb-qdkn-eex
Groundwater Hydrology Group (@ghs_barcelona) 's Twitter Profile Photo

💧 Project: MUltiscale CHaracterization Of GroUndwater and Solutes discharge into The Ocean (MuchoGusto) ➡️ h2ogeo.upc.edu #coastalgroundwater #groundwater #coastalaquifer #submarinedischarge #seawaterintrusion #garraf #barcelona

💧 Project: MUltiscale CHaracterization Of GroUndwater and Solutes discharge into The Ocean (MuchoGusto)

➡️ h2ogeo.upc.edu

#coastalgroundwater #groundwater #coastalaquifer #submarinedischarge #seawaterintrusion #garraf #barcelona
Groundwater Hydrology Group (@ghs_barcelona) 's Twitter Profile Photo

💧Reminder! The SWIM 2025 abstract submission deadline is Feb 15! Download the official template from our website Submit your abstract or a 4-page short article for publication in the conference proceedings swim2025.upc.edu #SWIM2025 #CallForAbstracts

💧Reminder! The SWIM 2025 abstract submission deadline is Feb 15! 

Download the official template from our website
Submit your abstract or a 4-page short article for publication in the conference proceedings

swim2025.upc.edu

 #SWIM2025 #CallForAbstracts
Clara Ruiz-González (@clara_ruizg) 's Twitter Profile Photo

Last week we had an inspiring meeting at ICM-CSIC about integrating microbes in the study of coastal groundwater as part of the MACGNET project (macgnet.csic.es). Happy to work with this nice and multidisciplinary group of researchers!

Last week we had an inspiring meeting at <a href="/ICMCSIC/">ICM-CSIC</a> about integrating microbes in the study of coastal groundwater as part of the MACGNET project (macgnet.csic.es). Happy to work with this nice and multidisciplinary group of researchers!
Clara Ruiz-González (@clara_ruizg) 's Twitter Profile Photo

Working on coastal groundwater? Join us at the next #SWIM meeting in Barcelona! New abstract deadline: Feb 28, 2025 Submit now: swim2025.upc.edu/abstract_submi…

Working on coastal groundwater? Join us at the next #SWIM meeting in Barcelona! New abstract deadline: Feb 28, 2025 Submit now: swim2025.upc.edu/abstract_submi…