Dr Romanzi (@drromanzi) 's Twitter Profile
Dr Romanzi

@drromanzi

To succeed as small man no be small thing... Chinua Achebe

ID: 18507199

linkhttps://www.pgssc.org/faculty calendar_today31-12-2008 14:39:18

9,9K Tweet

2,2K Takipçi

1,1K Takip Edilen

Rohini Dutta (@rohdutta) 's Twitter Profile Photo

Read our piece in @HPHRJournal We advocate for and discuss alternative strategies to banked blood in low-resource settings. hphr.org/32-article-jay… Loved working on it with the dream team!🌟 Anusha Jayaram, MD, MBA (she/her) Nakul Raykar Nobhojit Roy #AlaskaPendleton Harvard Global Surgery #GlobalSurgery

Ariadne Labs (@ariadnelabs) 's Twitter Profile Photo

When your job is to heal, it's hard when something goes wrong and causes harm. A compassionate response promotes healing for all. The PACT Collaborative helps health systems develop Communication & Resolution Programs to respond with accountability & compassion when harm occurs.

When your job is to heal, it's hard when something goes wrong and causes harm. A compassionate response promotes healing for all. The PACT Collaborative helps health systems develop Communication & Resolution Programs to respond with accountability & compassion when harm occurs.
Haytham Kaafarani (@hayfarani) 's Twitter Profile Photo

My 3 cents for #Match2022: 1. IMGs are needed & enrich. 2. #IMG does not sum up or define an applicant. They have different shades & stories. Ask about #distancetravelled 3. Prejudice & discrimination hurt. The blanket statement "our program does not take IMGs" will not age well.

Andrea Junker (@strandjunker) 's Twitter Profile Photo

Just a casual reminder that in 1861, 11 Senators and 3 Representatives were expelled from Congress for failing to recognize Lincoln’s election and supporting insurrection.

Bernie Sanders (@sensanders) 's Twitter Profile Photo

Look, I’m a bit old-fashioned. I happen to believe we should do what the people are demanding, and what the people are demanding is that we finally take on the ruling class of this country.

Robert Reich (@rbreich) 's Twitter Profile Photo

In 1890, the filibuster was used to block legislation to protect the right of Black Americans to vote. Fast forward 131 years, and the filibuster is once again being used to block legislation to protect the right to vote of communities of color. Abolish the Jim Crow filibuster.

Robert Reich (@rbreich) 's Twitter Profile Photo

Corporate America wants to frame what’s going on as a “labor shortage.” Wrong. It's a child care shortage, a living wage shortage, a hazard pay shortage, and a health care shortage. Unless these shortages are rectified, the strikes we're seeing will continue.

UN Women (@un_women) 's Twitter Profile Photo

"The women of Afghanistan are a source of pride for the country. And we had to fight for whatever we have today. When you gain something, you don’t give it up." Naheed had to flee from her home in Herat as the Taliban took over Afghanistan in August 2021. unwo.men/i1sY50GvGR2

Bernie Sanders (@sensanders) 's Twitter Profile Photo

I want to congratulate the pharmaceutical industry. While 1 out of 4 Americans can't afford to fill their prescriptions, and over 25% of diabetics ration insulin, the industry made over $50 billion in profits last year and the top 10 CEOs made $500 million. Greed. Greed. Greed.

Robert Reich (@rbreich) 's Twitter Profile Photo

By the way, 131 new billionaires were created during an economically-catastrophic pandemic. Does anyone else see a problem with this picture?

Dr Romanzi (@drromanzi) 's Twitter Profile Photo

It is a bona fide pleasure to be able to watch real, objective reporting of local news here News 12 New York Keep up the great work and thank you for adding New York to your platform.

Dr Romanzi (@drromanzi) 's Twitter Profile Photo

#PatriceLumumba #DRC #Zaire #BelgiumColonialism #KingLeopoldII #CrimesAgainstHumanity excellent short synopsis of an excruciating & complex nightmare in Belgian & #histoire #Congolaise-#brilliant reporting Adeola Fayehun youtu.be/QB7SvNdIYVQ

Carrie Ngongo (@cngongo) 's Twitter Profile Photo

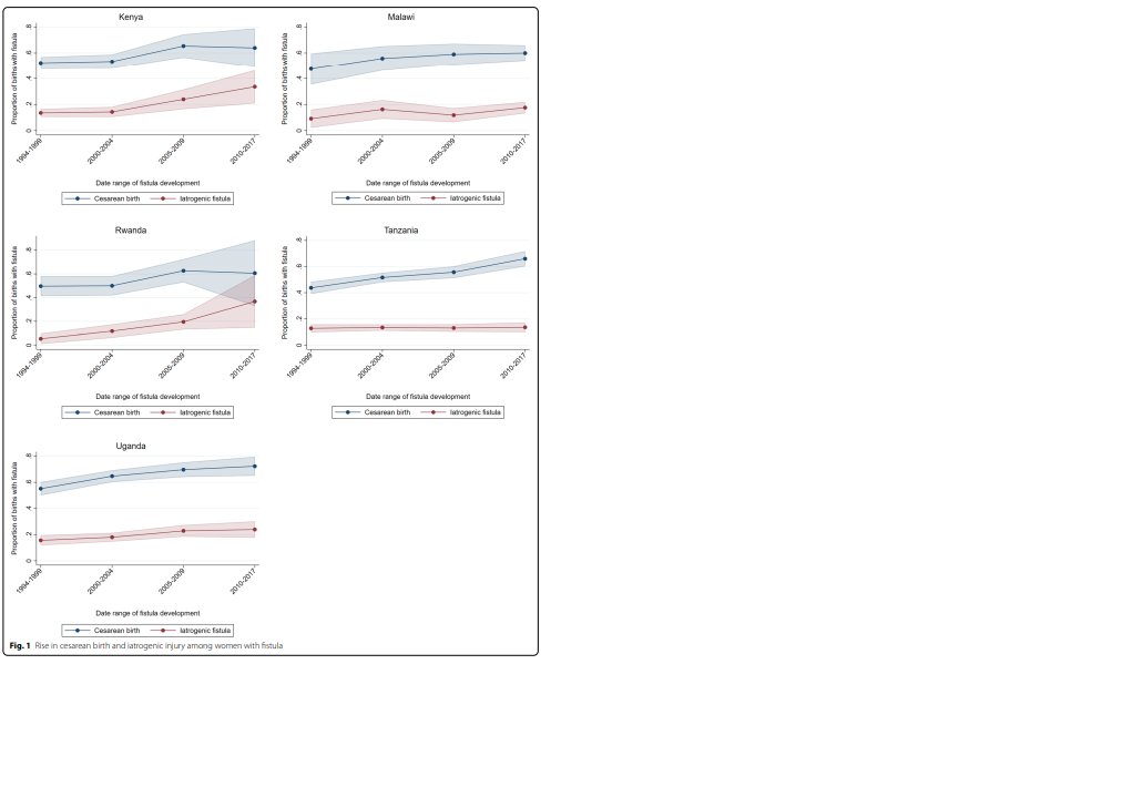
Reporting on years of data from Dr Thomas Raassen and Dr Marietta Mahendeka, we see that increases in iatrogenic fistula outpace the rise of cesarean section as mode of birth, although it's not the same everywhere. #EndFistula Springer Nature pubmed.ncbi.nlm.nih.gov/35790950/

Reporting on years of data from Dr Thomas Raassen and Dr Marietta Mahendeka, we see that increases in iatrogenic fistula outpace the rise of cesarean section as mode of birth, although it's not the same everywhere. #EndFistula <a href="/SpringerNature/">Springer Nature</a> pubmed.ncbi.nlm.nih.gov/35790950/