Sebastian Schäfer (@derseb81) 's Twitter Profile
Sebastian Schäfer

@derseb81

VVB Bio

ID: 22886800

linkhttp://www.vvb.bio calendar_today05-03-2009 05:45:36

56 Tweet

58 Takipçi

88 Takip Edilen

Stuart Cook (@stuartacook1) 's Twitter Profile Photo

Our recent data puts IL11 activity in infected/damaged epithelial cells and stromal cells upstream of IL6 activation in the lung. It is possible that targeting IL11 could be even more effective. Unfortunately therapeutic antibodies not yet in the clinic. But coming soon from BI.

Stuart Cook (@stuartacook1) 's Twitter Profile Photo

Fibroblast joke: Q: When is a fibroblast not a fibroblast? A: When it's at greater than passage 3. Not very funny. Nor is the fact that many academic, biotech and pharma labs use >P3 zombie cells Please stop Just stop Attached blot (HSCs) says it all

Fibroblast joke:

Q: When is a fibroblast not a fibroblast?
A: When it's at greater than passage 3.

Not very funny. Nor is the fact that many academic, biotech and pharma labs use >P3 zombie cells

Please stop

Just stop

Attached blot (HSCs) says it all
Stuart Cook (@stuartacook1) 's Twitter Profile Photo

It has been accepted for a couple of decades that IL6-stimulated STAT3 activation drives liver regeneration This premise appears incorrect Time to focus elsewhere for regenerative medicine 💥 biorxiv.org/content/10.110…

EleonoraA (@ele_adami) 's Twitter Profile Photo

I was interviewed by @Italyinsg as we celebrate the Day of Italian Research in the World. 😊 You can hear my salivary glands not working as I am talking about our work in the Cook lab, the importance of being part of a diverse and inclusive environment and my take on #sciart 1/2

Stuart Cook (@stuartacook1) 's Twitter Profile Photo

Huge data on fibroblasts from Genentech. But where is the new target? These papers usually end with 'and this means gene X represents a new target for disease Y...' Nothing Maybe they aren't telling us Or maybe this is just another scRNAseq index of stuff...

Stuart Cook (@stuartacook1) 's Twitter Profile Photo

This manuscript explains why IL11 is so terribly misunderstood Published on ⁦bioRxiv⁩ 18 months ago, downloaded >1000. Published now in STM [message unchanged] Fabulous Singapore team led out by the talented ⁦Anissa Widjaja⁩ stm.sciencemag.org/content/13/597…

Anissa Widjaja (@aa_widjaja) 's Twitter Profile Photo

Science Translational Medicine today (finally!!): We show that anti IL11 therapy reversed liver damage, promoted liver regeneration, and increased survival in mice with liver failure. Superb team effort from Stuart Cook lab Duke-NUS Medical School 🤩🤩

<a href="/ScienceTM/">Science Translational Medicine</a> today (finally!!):

We show that anti IL11 therapy reversed liver damage, promoted liver regeneration, and increased survival in mice with liver failure.

Superb team effort from <a href="/stuartacook1/">Stuart Cook</a> lab <a href="/dukenus/">Duke-NUS Medical School</a> 

🤩🤩
Stuart Cook (@stuartacook1) 's Twitter Profile Photo

Guys - stop it, go on now...its all too much.... Another day, another Editorial decision...Sebastian Schäfer Coming out soon: "Critical conditions for studying Interleukin-11 signalling in vitro and avoiding experimental artefacts" 😃

Guys - stop it, go on now...its all too much....

Another day, another Editorial decision...<a href="/DerSeb81/">Sebastian Schäfer</a> 

Coming out soon: "Critical conditions for studying Interleukin-11 signalling in vitro and avoiding experimental artefacts"

😃
Stuart Cook (@stuartacook1) 's Twitter Profile Photo

IL6 tans signaling The foundations underpinning the last few decades of research look shaky How this plays out will be interesting All is not as it seems…. 😮 elifesciences.org/articles/68843

Stuart Cook (@stuartacook1) 's Twitter Profile Photo

Old adage, "crap cells, crap data" - ever true Its hard to examine the effect of a ligand on a cell if the cell doesn't express the ligand's receptor... 36 pages of protocols on how to use primary cells to study IL11 signalling DOI: 10.1002/cpz1.251

Old adage, "crap cells, crap data" - ever true

Its hard to examine the effect of a ligand on a cell if the cell doesn't express the ligand's receptor...

36 pages of protocols on how to use primary cells to study IL11 signalling DOI: 10.1002/cpz1.251
Stuart Cook (@stuartacook1) 's Twitter Profile Photo

Happy/not happy the head of Genentech research thinks “IL-11 signaling by fibroblasts is a conserved molecular circuit that may be shared among diverse inflammatory fibrotic diseases and therefore represents a potential therapeutic target to prevent fibrosis." PMID: 35085231

Stuart Cook (@stuartacook1) 's Twitter Profile Photo

European Patent Office just published that the most recent attack on one of our fibrosis patents is rejected This is the third opposition in 2 years Bayer this time... Don't let VC/Pharma tell you university patents don't matter They do BTW going to court = scary 😬

European Patent Office just published that the most recent attack on one of our fibrosis patents is rejected

This is the third opposition in 2 years

Bayer this time...

Don't let VC/Pharma tell you university patents don't matter

They do

BTW going to court = scary 😬
Stuart Cook (@stuartacook1) 's Twitter Profile Photo

Anti-IL11 reduces aortopathy in the mouse model that led to the use of ACEi in patients with Marfan syndrome MFS = TGFB overactivity = IL11 up-regulation and disease Congrats to WW for 5 years of hard graft! ⁦Marfan Trust⁩ ⁦TheMarfanFoundation⁩ ahajournals.org/doi/10.1161/CI…

Stuart Cook (@stuartacook1) 's Twitter Profile Photo

Renal failure in Alport syndrome Anti-IL11 therapy + ACEi in mouse model of Alport doubles lifespan Podocytes + epithelium protected, EMT + fibrosis inhibited: better kidney function Amazing study by the talented Anissa Widjaja ⁦Alport Syndrome Foundation⁩ jasn.asnjournals.org/content/early/…

Stuart Cook (@stuartacook1) 's Twitter Profile Photo

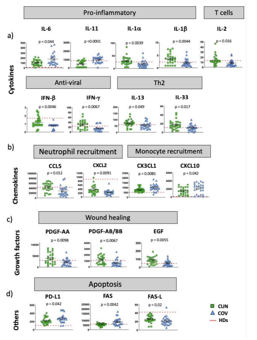
64 patients with Covid Patients divided into two groups: those <60 years (n=33; COVID-under “CUN”; green) and those > 70 years (n=31; COVID-over “COV”, blue) Anti-IL6R (tocilizumab) saves lives in severe covid Time to try anti-IL11 as well?

64 patients with Covid

Patients divided into two groups: those &lt;60 years (n=33; COVID-under “CUN”; green) and those &gt; 70 years (n=31; COVID-over “COV”, blue)

Anti-IL6R (tocilizumab) saves lives in severe covid

Time to try anti-IL11 as well?
Owen Rackham (@owenrackham) 's Twitter Profile Photo

Here is our high-resolution map of human translation authors.elsevier.com/a/1fP-a3vVUPK8…. This paper has been six years in the making - we hope it will be helpful to the many groups studying smORFs and even those that aren’t but should be! There are some features that I want to highlight:

EleonoraA (@ele_adami) 's Twitter Profile Photo

...And it's out Molecular Cell! 🥂 We, the team, are happy to share with the field an atlas of 7k small ORFs (smORFs) detected in 11 human tissues/ primary cells. authors.elsevier.com/c/1fP-a3vVUPK8…

...And it's out <a href="/MolecularCell/">Molecular Cell</a>! 🥂
We, the team, are happy to share with the field an atlas of 7k small ORFs (smORFs) detected in 11 human tissues/ primary cells. 
authors.elsevier.com/c/1fP-a3vVUPK8…
EleonoraA (@ele_adami) 's Twitter Profile Photo

A long and winding road (cit🎶) led us here and this would not have been feasible without a great team behind it! I'd like to thank all the people involved and especially Sonia Chothani Owen Rackham Sebastian Schäfer Anissa Widjaja Stuart Cook Here the link again: authors.elsevier.com/c/1fP-a3vVUPK8…

Lasker Foundation (@laskerfdn) 's Twitter Profile Photo

Translated small open reading frames (smORFS) have been difficult to identify in the genome, though it is known they can play important regulatory functions. Now, scientists publish a high-resolution atlas of translated smORFs in human cells. Owen Rackham ow.ly/116450JXJ5j

Translated small open reading frames (smORFS) have been difficult to identify in the genome, though it is known they can play important regulatory functions. Now, scientists publish a high-resolution atlas of translated smORFs in human cells. <a href="/OwenRackham/">Owen Rackham</a> ow.ly/116450JXJ5j