DavidKnorrMDPhD (@davidknorrmdphd) 's Twitter Profile
DavidKnorrMDPhD

@davidknorrmdphd

Oncologist/Immunologist. Focus on antibody-based therapeutics and their impact on human immunity. Tweets are my own and do not represent my employer.

ID: 1426609662053556230

calendar_today14-08-2021 18:20:37

32 Tweet

383 Followers

1,1K Following

Raajit Rampal, M.D.Ph.D. (@raajitrampal) 's Twitter Profile Photo

Looking to join a dynamic innovative Leukemia service in the greatest city in the world? Inquire here: externaltalent-mskcc.icims.com/jobs/54968/ass…

Olli Dufva (@ollidufva) 's Twitter Profile Photo

My picks of interesting #ASH21 abstracts related to immunology/immunotherapy, focus a bit more on the pre-clinical side: 1/

Santosh Vardhana (@santoshvardhana) 's Twitter Profile Photo

The key finding of our manuscript is that B-cell depletion is the primary driver of impaired COVID-19 clearance and associated COVID persistence. The implications of this finding for how to properly protect our heme malignancy patients is quite clear.

David Chung (@davidjchungmd) 's Twitter Profile Photo

Interested in an academic career in #BMT or #cancer_immunotherapy? Apply for an advanced fellowship @sloan_kettering. Develop clinical expertise while engaging in exciting and novel clinical and translational research. March 1 deadline.

Tobias Hohl is now @fungalspore.bsky.social (@tmhohl71) 's Twitter Profile Photo

1/ I'm really excited that the U.S. FDA has granted an EUA for #Paxlovid - this is a terrific new option for #OmicronVariant and kudos to the scientists, researchers, and developers at Pfizer. So timely, and so necessary as we face a wave of new #COVID19 infections globally.

Santosh Vardhana (@santoshvardhana) 's Twitter Profile Photo

Vardhana Lab⁩ and ⁦Katya Vinogradova⁩ have a fully funded post-doctoral position to study post-translational and environmental drivers of T-cell exhaustion. Details below, please share broadly!! jobrxiv.org/job/the-rockef…

Talha Badar (@talhabadarmd) 's Twitter Profile Photo

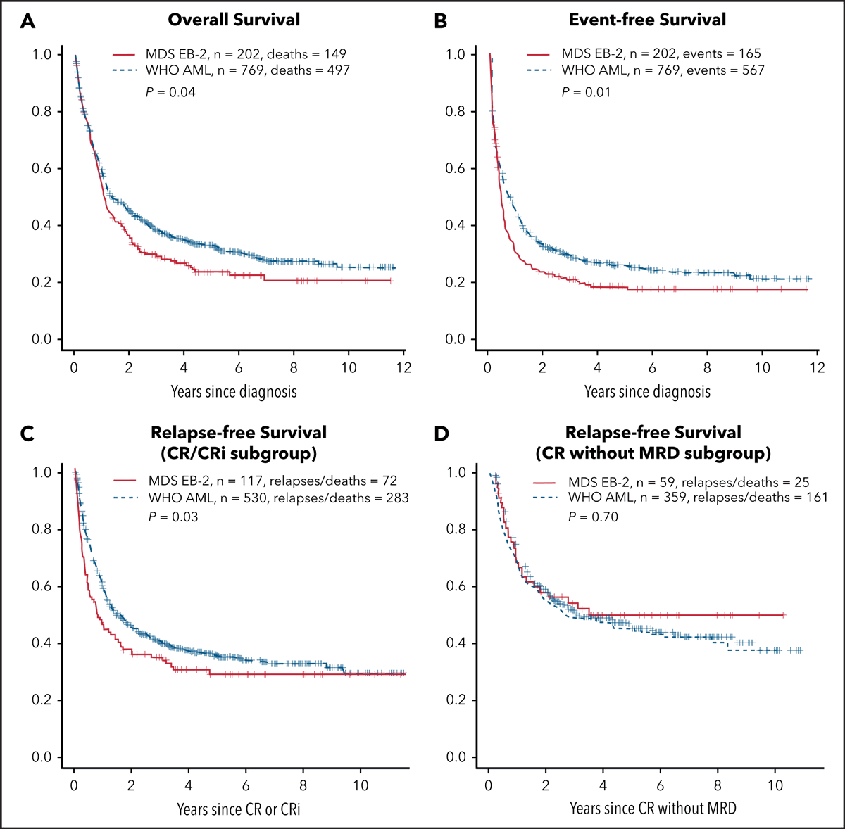
Distinguishing AML from MDS: a fixed blast percentage may no longer be optimal @BloodJournal ashpublications.org/blood/article/… AML/MDS-EB2 distinction had no effect OS or EFS! ELN risk, HCT, Age, PS, sAML bigger determinants! By late #ElihuEstey et al. #leusm #mdssm

Distinguishing AML from MDS: a fixed blast percentage may no longer be optimal @BloodJournal  ashpublications.org/blood/article/… AML/MDS-EB2 distinction had no effect OS or EFS! ELN risk, HCT, Age, PS, sAML bigger determinants! By late #ElihuEstey et al. #leusm #mdssm
David Chung (@davidjchungmd) 's Twitter Profile Photo

Reminder: Interested in an academic career in #BMT or #cancer_immunotherapy? Apply for an advanced fellowship @sloan_kettering. Develop clinical expertise while engaging in exciting and novel clinical and translational research. March 1 deadline.

David Chung (@davidjchungmd) 's Twitter Profile Photo

New First Edition article: Langerhans dendritic cell vaccines bearing mRNA-encoded tumor antigens induce anti-myeloma immunity after autotransplant. doi.org/10.1182/blooda… Blood Advances #mmsm #CancerVaccine

Lucas Blanchard (@lucasblch) 's Twitter Profile Photo

Out now Cancer Cell Cell Press 👉cell.com/cancer-cell/fu… Our work on tumor-associated high endothelial venules (TA-HEVs) @IpbsToulouse UT3 Paul Sabatier Inserm Take-home message : TA-HEVs are the major sites of lymphocyte entry into tumors during cancer immunotherapy (1/9)

Out now <a href="/Cancer_Cell/">Cancer Cell</a> <a href="/CellPressNews/">Cell Press</a> 
👉cell.com/cancer-cell/fu…
Our work on tumor-associated high endothelial venules (TA-HEVs) @IpbsToulouse <a href="/UT3PaulSabatier/">UT3 Paul Sabatier</a> <a href="/Inserm/">Inserm</a>

Take-home message : TA-HEVs are the major sites of lymphocyte entry into tumors during cancer immunotherapy (1/9)
Nature Cell Biology (@naturecellbio) 's Twitter Profile Photo

VCAM1 and MHC-I cooperate to provide a ‘don’t-eat-me’ signal that prevents haematopoietic stem cell clearance by mononuclear phagocytes. VCAM1 can be hijacked by cancer cells to escape innate immune surveillance. PDF: rdcu.be/cHQoJ nature.com/articles/s4155…

DavidKnorrMDPhD (@davidknorrmdphd) 's Twitter Profile Photo

Completely agree, fantastic collaborative effort with pre-clinical work supported by the @sloan_kettering Bladder SPORE. Work led by Christopher Garris (great new PI at MGH with focus on DC biology) and MSK fellow Jeff Wong (who also helped write the clinical protocol).

Maxime Meylan (@maximemeylan) 's Twitter Profile Photo

Tertiary lymphoid structures (TLS) generate and propagate anti-tumor antibody-producing plasma cells. Our story out in Immunity !! authors.elsevier.com/c/1efr~3qNrUqF…

Juan C Osorio MD (@juanosoriomd) 's Twitter Profile Photo

Extremely grateful Burroughs Wellcome Fund for the support!!! Also thankful for the amazing mentorship, it really makes a difference. Also congrats to all the fellow awardees!

DavidKnorrMDPhD (@davidknorrmdphd) 's Twitter Profile Photo

This was a wonderful collaboration with RaminHerati and E. John Wherry. Ramin is a phenomenal physician-scientist and if you are looking for a lab I'd highly recommend joining him! He's asking important questions in human immunology using all the latest and greatest techniques.

David H Aggen, MD PhD (@dr_aggen) 's Twitter Profile Photo

Now open Memorial Sloan Kettering Cancer Center - EV-ECLIPSE Trial - Enfortumab Vedotin + Pembrolizumab for Node + Bladder Cancer Prior to Cystectomy MSK Trial info: mskcc.org/cancer-care/cl… Clinicaltrials.gov: bit.ly/3JKTp8f NCT: NCT05239624 Bladder Cancer Advocacy Network UroToday.com UrologyMSK

Nataliya Prokhnevska🇺🇦 (@nataliya_pro_) 's Twitter Profile Photo

Really excited to share the work I have done with Haydn Kissick over my PhD! In this work we show that CD8 T cell activation and differentiation in cancer happens in two distinct phases. Tweet-orial below summarizes the main findings we have described. cell.com/immunity/fullt…

Really excited to share the work I have done with <a href="/HaydnKissick/">Haydn Kissick</a> over my PhD! In this work we show that CD8 T cell activation and differentiation in cancer happens in two distinct phases. Tweet-orial below summarizes the main findings we have described. cell.com/immunity/fullt…