
Viktor Rotbain Curovic
@curovicviktor
Doctoral Student and MD @Stenodiabetes. Doing clinical trials in personalization of treatment in diabetic complications.
ID: 1411975368714686466
05-07-2021 09:09:03
62 Tweet
55 Takipçi
95 Takip Edilen

Read about the rationale, design and baseline data of FLOW, a kidney outcomes trial with ow semaglutide in people with T2D and CKD pubmed.ncbi.nlm.nih.gov/36651820/ Steno Diabetes Center Copenhagen Vlado Perkovic Katherine Tuttle Richard Pratley MD George Bakris Kenneth Mahaffey


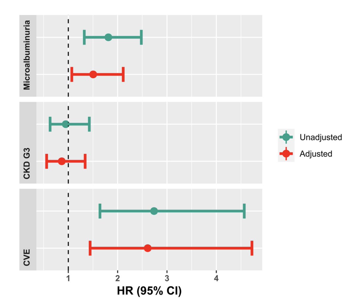
Presence of retinopathy and incident kidney and cardiovascular events in type 2 diabetes with normoalbuminuria - A PRIORITY post hoc analysis pubmed.ncbi.nlm.nih.gov/36841085/ Steno Diabetes Center Copenhagen Viktor Rotbain Curovic Frederik Persson



we found that baricitinib reduces markers of inflammation in i T1D and T2 diabetes. Four weeks of treatment with other drugs used in the management of individuals with type 2 diabetes and CKD did not reduce inflammation markers. Steno Diabetes Center Copenhagen Viktor Rotbain Curovic Frederik Persson


Stay tuned for the European Diabetic Nephropathy Study Group (EDNSG) meeting next year will be Steno Diabetes Center Copenhagen in Copenhagen May 17-18 2024 EDNSG.org hope to see you there! Frederik Persson


Can you remove kidney parenchymal fat ? see the effects of ezetimibe on albuminuria and kidney fat in individuals with type 2 diabetes and CKD pubmed.ncbi.nlm.nih.gov/37278273/ Steno Diabetes Center Copenhagen AlessiaFornoni


Congratulations 🎊 to Asger Wretlind Asger Wretlind with a Well defended PhD thesis on metabolomics in research of diabetes complications Steno Diabetes Center Copenhagen



Read about treatment effect on inflammation in #DKD …ubs.pericles-prod.literatumonline.com/share/TC3RKR7V… Peter Rossing Viktor Rotbain Curovic Steno Diabetes Center Copenhagen

suPAR, a biomarker highly associated with risk of complications in diabetes, may be modified using an individualized treatment approach! See our new paper in Diabetes, Obesity and Metabolism. doi.org/10.1111/dom.15… Steno Diabetes Center Copenhagen Peter Rossing Hiddo Lambers Heersp Frederik Persson


We created a retrospective kidney biopsy cohort and will investigate clinical, molecular data and association to outcome. Karina Haar Jensen leads the work with Ditte Hansen Peter Rossing Rikke Marie Møller Iain Bressendorff, MD PhD Vanja Kosjerina Steno Diabetes Center Copenhagen academic.oup.com/ckj/article/do…

In a Danish register study including 24,718 adults with type 1 diabetes with a follow-up period from 1996 to 2020, we showed that the incidence rates of DKA are declining for both men and women ADA Professional Publications Read Here➡️doi.org/10.2337/dc23-0…


Our work is out in press! ✨we study #CVD biomarkers in type 1 #diabetes. “Ceramides as risk markers for future cardiovascular events and all-cause mortality in long-standing type #T1D” A collaboration Asger Wretlind Viktor Rotbain Curovic Peter Rossing et al. in American Diabetes Association Diabetes



Soluble urokinase plasminogen activator receptor, platelet aggregation and carotid plaques are associated in diabetes sciencedirect.com/science/articl… Steno Diabetes Center Copenhagen Viktor Rotbain Curovic


Randomized Trial of #SGLT2 Inhibitor Identifies Target Proteins in Diabetic Kidney Disease #DKD #VisualAbstract by Edgar V. Lerma 🇵🇭 kireports.org/article/S2468-… Tarunveer Singh Ahluwalia Viktor Rotbain Curovic Harald Frederik Persson Peter Rossing Mie Eickhoff


A step closer to use of metabolites in clinical risk stratification of #Diabetes #Complications: Novel risk markers of Diabetic #Neuropathy & complications #burden unveiled by our team Steno Diabetes Center Copenhagen Read: drc.bmj.com/content/12/2/e… Viktor Rotbain Curovic #Omics #PrecisionMedicine


Circulating metabolomic markers in association with overall burden of microvascular complications in type 1 diabetes Viktor Rotbain Curovic Tarunveer Singh Ahluwalia Peter Rossing Steno Diabetes Center Copenhagen Read more here 👉 bit.ly/446Op88
