Celia Vidal Quevedo (@celia_vida_l) 's Twitter Profile
Celia Vidal Quevedo

@celia_vida_l

'Bendito sea el caos, es síntoma de libertad'
Experta en fisioterapia neurológica. Fisioterapeuta en HRJC; Instructora de Pilates; Estudiante de psicología.

ID: 910882115352440842

calendar_today21-09-2017 15:03:14

93 Tweet

101 Followers

269 Following

La Salle Facultad Salud (@lasallesaluduam) 's Twitter Profile Photo

🗓Hoy celebramos el acto de graduación del curso académico 2017-18 de La Salle Campus MAD - UAM Autónoma Madrid en el Palacio de Congresos de la Comunidad de Madrid. Enhorabuena a todos los nuevos graduados!!! 🎓👏🏻👏🏻👏🏻

🗓Hoy celebramos el acto de graduación del curso académico 2017-18 de <a href="/LaSalleMAD/">La Salle Campus MAD</a> - <a href="/UAM_Madrid/">UAM Autónoma Madrid</a> en el Palacio de Congresos de la Comunidad de Madrid. Enhorabuena a todos los nuevos graduados!!! 🎓👏🏻👏🏻👏🏻
Cristina Macía (@reumacia) 's Twitter Profile Photo

La sanidad pública española tiene un grave problema: miles de maravillosos fisioterapeutas en el país y nuestros pacientes sólo acceden a 3 sesiones de 30 mins con suerte. Lesiones solucionables se convierten en crónicas, hipercostosas al sistema, y un drama para el paciente

Hector Beltran-Alacreu (@profhectorba) 's Twitter Profile Photo

El Gobierno prohibirá las pseudoterapias en centros sanitarios y universidades rtve.es/n/1837920 vía RTVE Gran noticia! el colectivo de Fisioterapeutas tenemos curro a ver cuanto se mojan y cuanto de verdad hay.... AEF Vicente Baos 🇪🇺🇪🇸 Raúl Ferrer Rubén Tovar Antonio I. Cuesta-Vargas

La Salle Campus MAD (@lasallemad) 's Twitter Profile Photo

Estamos en la presentación del libro "Fuerte que se entere el mundo. Cómo vivir con #DolorCrónico... ¡Y vivir feliz!" de Carmen García Roger. ¡Gracias por contarnos tu experiencia de superación de esta forma tan cercana! La Salle Facultad Salud @IRFLaSalle

Estamos en la presentación del libro "Fuerte que se entere el mundo. Cómo vivir con #DolorCrónico... ¡Y vivir feliz!" de Carmen García Roger. ¡Gracias por contarnos tu experiencia de superación de esta forma tan cercana! 
<a href="/LaSalleSaludUAM/">La Salle Facultad Salud</a> @IRFLaSalle
Celia Vidal Quevedo (@celia_vida_l) 's Twitter Profile Photo

Hablando sobre interacciones piscologicas y sensoriomotoras en relación al nivel de expansión de dolor en pacientes con dolor lumbar crónico. Brillante ponencia de Mónica Grande-Alonso en Universidad Alcalá

Hablando sobre interacciones piscologicas y sensoriomotoras en relación al nivel de expansión de dolor en pacientes con dolor lumbar crónico. Brillante ponencia de <a href="/monigrandeal/">Mónica Grande-Alonso</a> en <a href="/UAHes/">Universidad Alcalá</a>
Clínica Universitaria La Salle (@lasalleclinica) 's Twitter Profile Photo

Sabías que… El tratamiento SIN #DOLOR es muy efectivo y necesario. La articulación responde ante el tratamiento CON DOLOR irritándose más y nos impide conseguir tantos efectos de alivio como cuando la tratamos SIN DOLOR. Por eso: ¡Si NO grita SÍ rehabilita! #Frases #Salud

Sabías que…
 
El tratamiento SIN #DOLOR es muy efectivo y necesario. La articulación responde ante el tratamiento CON DOLOR irritándose más y nos impide conseguir tantos efectos de alivio como cuando la tratamos SIN DOLOR. 
Por eso: ¡Si NO grita SÍ rehabilita!
#Frases #Salud
José Carlos Igeño (@jcarlosigeno) 's Twitter Profile Photo

Estar con nuestro fisioterapeuta dentro del box viendo cómo trabaja con los enfermos COVID intubados es espectacular. Como hace que suban sus volúmenes casi al doble... La de reintubaciones que ha evitado este hombre en estos años. Fisioterapeutas en todas las UCI @HUMANIZALAUCI

Mónica Grande-Alonso (@monigrandeal) 's Twitter Profile Photo

En serio ozonoterapia para un dolor lumbar crónico Julio Armas Castro? Espero que por lo menos recomiendes #Fisioterapia y otras especialidades para una lesión medular incompleta... 🧐 #encasaconundoctor

David Pérez Martínez (@daperezm) 's Twitter Profile Photo

Paciente varón de 50 años adicto a drogas via parenteral y clínica aguda compatible con Ictus hemisferico izquierdo. En TAC craneal un signo de la arteria cerebral media híper-hiperdensa 👇

Paciente varón de 50 años adicto a drogas via parenteral y clínica aguda compatible con Ictus hemisferico izquierdo. 
En TAC craneal un signo de la arteria cerebral media híper-hiperdensa 👇
Investigación Ciencias de la Salud (@incimov) 's Twitter Profile Photo

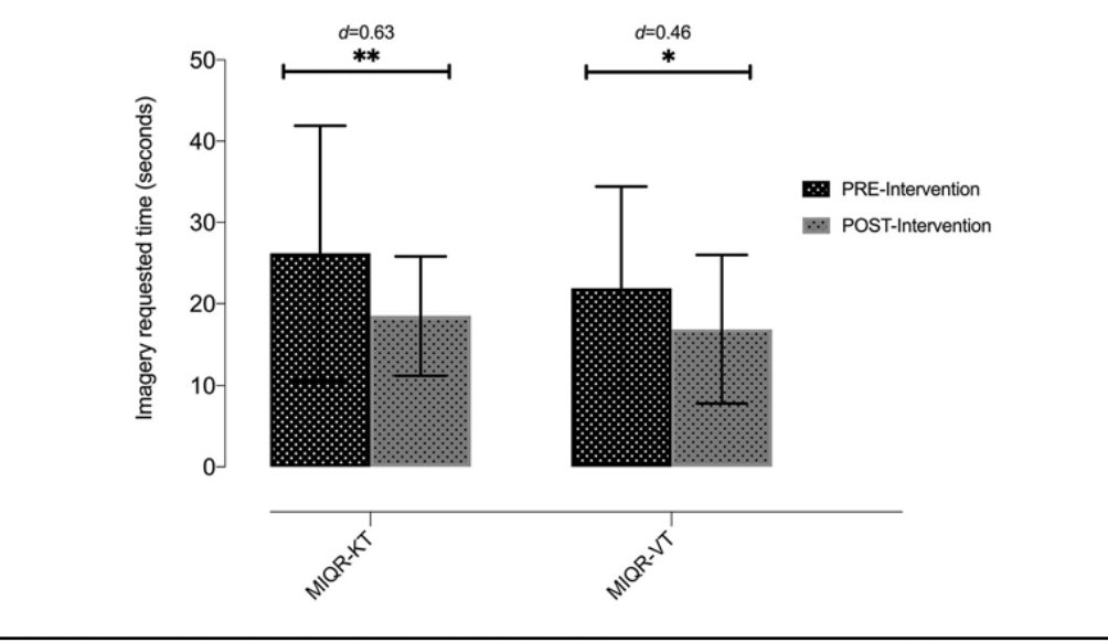
Nuevo artículo en Motion in Brains. Influencia de la generación de imágenes de movimiento en el tratamiento de #Fisioterapia en pacientes con #DolorLumbarCrónico La Salle Facultad Salud La Salle Campus MAD pubmed.ncbi.nlm.nih.gov/32709186/

Nuevo artículo en <a href="/MotionInBrains/">Motion in Brains</a>. Influencia de la generación de imágenes de movimiento en el tratamiento de #Fisioterapia en pacientes con #DolorLumbarCrónico  <a href="/LaSalleSaludUAM/">La Salle Facultad Salud</a> <a href="/LaSalleMAD/">La Salle Campus MAD</a> pubmed.ncbi.nlm.nih.gov/32709186/
Toni Corral 🏊🏻🚴🏼‍♂️🏃🏻🇪🇸 (@corralmunar) 's Twitter Profile Photo

“Los virus no piensan. No tienen deseos ” Angela Rasmussen, viróloga de la Universidad de Columbia. En ausencia de deseo, tienen propósitos: extenderse, multiplicarse y persistir. Tu si que piensas. Tu si que tienes deseos. #mascarilladistancialavadomanos

María Gracia Carpena (@mg_carpena) 's Twitter Profile Photo

Iniciamos una investigación relacionada con el estrés, la ansiedad y la calidad de vida de los profesionales sanitarios durante la pandemia. Agradecería la difusión. forms.gle/hUTap5YMcf1Bsp…

Mónica Grande-Alonso (@monigrandeal) 's Twitter Profile Photo

Seguimos intentando sacar datos representativos del síndrome de burnout en fisioterapia!!! Solo tienes que rellenar la encuenta si aún no lo hiciste! Muchas gracias por la colaboración! #Fisioterapia forms.office.com/Pages/Response…

Physio Meets Science (@physiomescience) 's Twitter Profile Photo

Fatigue is a brain-derived emotion that regulates the (exercise) behavior to ensure the protection of whole body homeostasis #parallelspain frontiersin.org/articles/10.33…

Fatigue is a brain-derived emotion that regulates the (exercise) behavior to ensure the protection of whole body homeostasis

#parallelspain

frontiersin.org/articles/10.33…