
Brodribb Lab
@brodribb_lab
We study plant physiology, evolution and function with a focus on plant responses to air and soil drought | @UTAS_ @Sciences_UTAS
ID: 1285708594109808641
21-07-2020 22:50:06
189 Tweet
1,1K Takipçi
335 Takip Edilen


📢 New publication 'A one-way ticket: Wheat #roots do not functionally refill #xylem emboli following rehydration' by Beatrice Harrison Day, Dr. Kate Johnson, Vanessa Tonet, Ibrahim Bourbia, Chris Blackman and Timothy Brodribb in Plant Physiology 💧 Brodribb Lab doi.org/10.1093/plphys…

New paper in Plant Physiology All together now: A mixed-planting experiment reveals adaptive drought tolerance in seedlings of 10 Eucalyptus species. ARC Centre of Excellence for Plant Success, Chris Blackman, Ben Halliwell doi.org/10.1093/plphys…



New in Plant Cell & Environment: Stomatal Plasticity Maintains Water Potential Homeostasis in Pinus radiata Needles Kritika Sharma ARC Centre of Excellence for Plant Success Ibrahim Bourbia Rebecca Jones doi.org/10.1111/pce.15…


📢 New publication 'All together now: A mixed-planting experiment reveals adaptive #drought tolerance in seedlings of 10 #Eucalyptus species' by Chris Blackman, Ben Halliwell and Tim Brodribb Brodribb Lab in Plant Physiology. doi.org/10.1093/plphys…

Pleased to share Hanh Minh Vo's first 1st-author article, with Brodribb Lab and Mike Charleston, on the phylogenetic relationships between NCED genes that are rapidly upregulated by dehydration stress - out today: link.springer.com/article/10.100… ARC Centre of Excellence for Plant Success Sciences and Engineering at University of Tasmania University of Tasmania


📢 New publication 'Deadly predictions in trees' by Timothy Brodribb and Ibrahim Bourbia in Tree Physiology 🌳 doi.org/10.1093/treeph… Brodribb Lab #PlantMortality #drought

This conversation article describes some recent work we did when Prof Craig Brodersen Brodersen Lab visited Tasmania and brought his bubble laser with him. theconversation.com/plants-breathe…

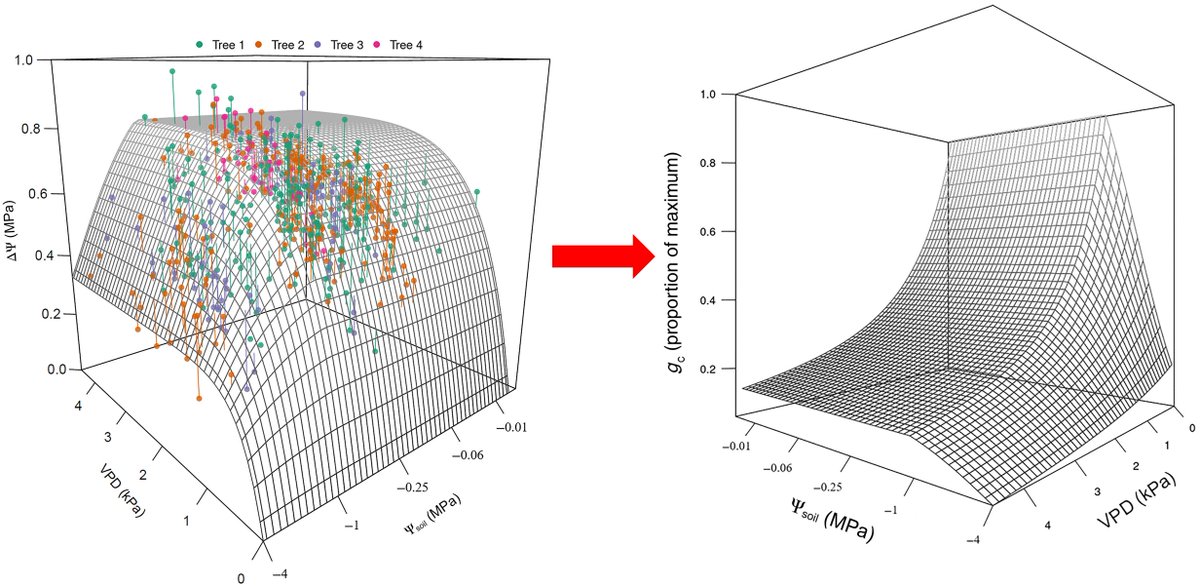
Rapid report in New Phytologist Using long‐term field data to #quantify water potential regulation in response to VPD and soil moisture in a conifer tree doi.org/10.1111/nph.70… ARC Centre of Excellence for Plant Success Ibrahim Bourbia


Priority report by Ibrahim Bourbia et al. Brodribb Lab University of Tasmania ARC Centre of Excellence for Plant Success New Phytologist Wiley Plant Science Using long-term #field data to quantify #water potential regulation in response to VPD and #soil moisture in a #conifer #tree nph.onlinelibrary.wiley.com/doi/10.1111/np… #PlantSci Soilmoisture

Happy to share our new paper in Plant Physiology Polyploidy drives changes in tissue allocation modifying whole-plant water relations academic.oup.com/plphys/article… With Brodribb Lab Ibrahim Bourbia and the support of ARC Centre of Excellence for Plant Success

New paper in Plant Physiology Polyploidy drives changes in tissue allocation modifying whole-plant water relations doi.org/10.1093/plphys… Javier López-Jurado Ibrahim Bourbia ARC Centre of Excellence for Plant Success



📢 New publication 'Using long-term field data to quantify #water potential regulation in response to #VPD and soil moisture in a conifer tree' by Ibrahim Bourbia, Luke Yates, Timothy Brodribb in New Phytologist Brodribb Lab 💧 doi.org/10.1111/nph.70… #drought

📢 New publication '#Polyploidy drives changes in tissue allocation modifying whole-plant #water relations' by Javier López-Jurado, Ibrahim Bourbia and Timothy Brodribb in Plant Physiology 💧 academic.oup.com/plphys/article… Brodribb Lab

New paper in Plant Physiology Substantial capacitance found in the roots of 2 contrasting conifer species ARC Centre of Excellence for Plant Success Abiotic stress in plants (Green Survivors) Brodribb Lab doi.org/10.1093/plphys…


Substantial capacitance found in the roots of 2 contrasting conifer species Plant Physiology doi.org/10.1093/plphys… ARC Centre of Excellence for Plant Success


📢 New publication 'Substantial capacitance found in the roots of 2 contrasting #conifer species' by Christopher McCarthy, Ibrahim Bourbia and Timothy Brodribb in Plant Physiology. doi.org/10.1093/plphys… Brodribb Lab