Brett Gordon (@brettgordonaep) 's Twitter Profile
Brett Gordon

@brettgordonaep

Accredited exercise physiologist and Associate Prof at La Trobe University. Exercise and Physical Activity on Health and Disease. Use technology for adherence.

ID: 499200010

calendar_today21-02-2012 21:47:47

4,4K Tweet

943 Takipçi

1,1K Takip Edilen

Brett Gordon (@brettgordonaep) 's Twitter Profile Photo

Effects of Exercise Testing and Cardiac Rehabilitation in Patients with Coronary Heart Disease on Fear and Self-Eff… pubmed.ncbi.nlm.nih.gov/37555897/

ICCPR (@iccpr_globalcr) 's Twitter Profile Photo

#CardiacRehab Barriers Scale-revised for hybrid delivery now available on our website at: globalcardiacrehab.com/Patients-CRBS. Patients received personally tailored barrier mitigation strategies based on their responses.

#CardiacRehab Barriers Scale-revised for hybrid delivery now available on our website at: globalcardiacrehab.com/Patients-CRBS. Patients received personally tailored barrier mitigation strategies based on their responses.
Pamela Snow (@pamelasnow2) 's Twitter Profile Photo

Our work in the La Trobe University #SOLARLab is ALL about partnerships with sectors, schools, and teachers who want to know better and do better. Kudos to the outstanding team in the Ballarat Diocese and gratitude to the Bertalli Foundation.

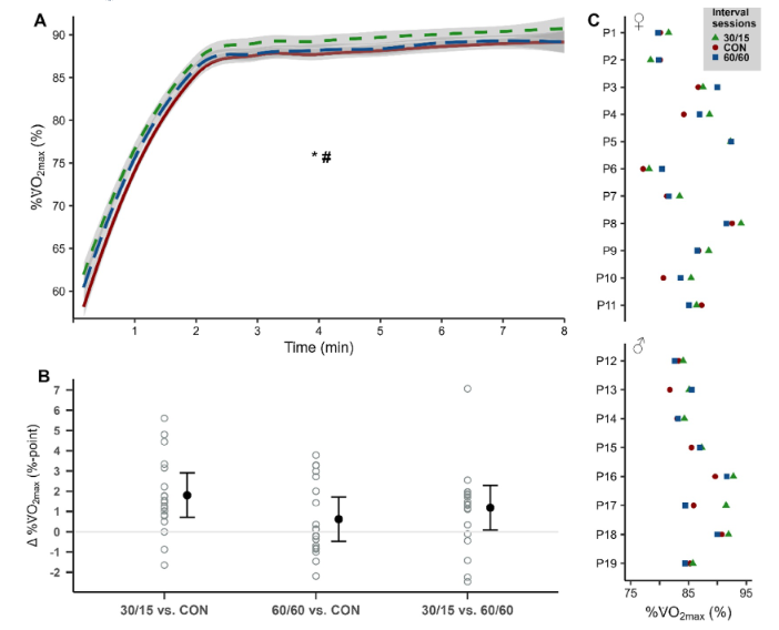
Stephen Seiler (@stephenseiler) 's Twitter Profile Photo

Really nice new study demonstrating that 1) Accumulated work duration (AWD) in a HIIT session strongly constrains average %VO2max, 2) Individual athletes tend to show clustered responses to same AWD prescribed in different ways & 3) There is no one consistently "best" HIIT

Really nice new study demonstrating that 1) Accumulated work duration (AWD) in a HIIT session strongly constrains average %VO2max, 2) Individual athletes tend to show clustered responses to same AWD prescribed in different ways & 3) There is no one consistently "best" HIIT
Matt Driller (@mattdriller) 's Twitter Profile Photo

We’re excited to announce a new opportunity at La Trobe University! Join our incredible team and work in world-class facilities as a Lecturer or Senior Lecturer in Sport and Exercise Science. careers.pageuppeople.com/533/caw/en/job…

We’re excited to announce a new opportunity at La Trobe University! Join our incredible team and work in world-class facilities as a Lecturer or Senior Lecturer in Sport and Exercise Science.

careers.pageuppeople.com/533/caw/en/job…
Bendigo Spirit (@bendigospirit) 's Twitter Profile Photo

Bendigo Spirit is proud to announce that for the first time a Spirit Jersey will be retired, with the announcement that Gabe Richards‘ iconic number 20 jersey will be immortalised in club history 💙 wnbl.basketball/bendigo/news/b…

Bendigo Spirit is proud to announce that for the first time a Spirit Jersey will be retired, with the announcement that Gabe Richards‘ iconic number 20 jersey will be immortalised in club history 💙

wnbl.basketball/bendigo/news/b…
Daniel Berglind, PhD (@danielberglind) 's Twitter Profile Photo

Meta-analysis: walking 🚶‍♀️ has a greater acute beneficial impact on postprandial hyperglycemia when undertaken as soon as possible after a meal 🥘 rather than after a longer interval or before eating: link.springer.com/article/10.100…

Brett Gordon (@brettgordonaep) 's Twitter Profile Photo

Maybe not surprisingly, #exercise prescribed after CPET is more effective than encouragement to exercise. Cardiopulmonary Exercise Testing-Guided Exercise Therapy in Hypertensive Patients: A Single Center Study pubmed.ncbi.nlm.nih.gov/39742005/

Brett Gordon (@brettgordonaep) 's Twitter Profile Photo

Cardiopulmonary Exercise Testing: Methodology, Interpretation, and Role in Exercise Prescription for Cardiac Rehabi… pubmed.ncbi.nlm.nih.gov/39872828/

Brett Gordon (@brettgordonaep) 's Twitter Profile Photo

current #cardiac rehabilitation programs are not effective at facilitating enduring changes to physical #activity pubmed.ncbi.nlm.nih.gov/39963198/

Brett Gordon (@brettgordonaep) 's Twitter Profile Photo

Do we need a greater volume of #exercise within #cardiac rehabiliation? Volume of Aerobic Exercise to Optimize Outcomes in Cardiac Rehabilitation: An Official Statement From the American … pubmed.ncbi.nlm.nih.gov/40019287/