Bill Driegert (@billdriegert) 's Twitter Profile
Bill Driegert

@billdriegert

EVP, Head of Trucking at @flexport and the @convoyplatform. Working to make Freight easier.

ID: 1250449038

linkhttps://www.flexport.com calendar_today08-03-2013 01:43:59

282 Tweet

679 Takipçi

458 Takip Edilen

Ryan Petersen (@typesfast) 's Twitter Profile Photo

Flexport has nearly doubled the size of our e-commerce fulfillment business in the first 45 days of the year. I’m spending the weekend working in our San Bernadino fulfillment center to help the team overwhelm any bottlenecks in inbounding all this new merchandise.

Ryan Petersen (@typesfast) 's Twitter Profile Photo

Flexport has an old saying, “create the problem” when people worry about issues that will only come about because we’re super successful. The most recent problem we created is our 1.2M square foot (23 acre) fulfillment center in San Bernadino is now full to overflowing.

Flexport has an old saying, “create the problem” when people worry about issues that will only come about because we’re super successful. The most recent problem we created is our 1.2M square foot (23 acre) fulfillment center in San Bernadino is now full to overflowing.
Flexport (@flexport) 's Twitter Profile Photo

1/ The Future of Logistics Is Here: 2025 Flexport Winter Release For the first time in Flexport history, we’re launching 20+ groundbreaking AI and technology products—all at once.

Cody James 🇺🇸 (@codyaims) 's Twitter Profile Photo

4 days ago we learned a freight broker lied and COLAB never boarded ship to Japan After a 40hr recovery at Port of LA, we got it back Thanks to the Guardian Angels that are Flexport - COLAB is in transfer now to board a 747 and fly LAX-Tokyo ASAP It will arrive on time 🇯🇵🇺🇸

4 days ago we learned a freight broker lied and COLAB never boarded ship to Japan

After a 40hr recovery at Port of LA, we got it back

Thanks to the Guardian Angels that are <a href="/flexport/">Flexport</a> - COLAB is in transfer now to board a 747 and fly LAX-Tokyo ASAP

It will arrive on time 🇯🇵🇺🇸
Convoy Platform (@convoyplatform) 's Twitter Profile Photo

🎉Exciting news! AscendTMS and @Flexport's Convoy Platform are partnering, bringing brokers unprecedented efficiency, access to capacity, and peace of mind. This is just the beginning...more to come! Looking to transform your brokerage? Get started here: convoy.com/broker-sign-up…

🎉Exciting news! <a href="/AscendTMS/">AscendTMS</a> and @Flexport's Convoy Platform are partnering, bringing brokers unprecedented efficiency, access to capacity, and peace of mind. This is just the beginning...more to come!

Looking to transform your brokerage? Get started here:
convoy.com/broker-sign-up…
Flexport (@flexport) 's Twitter Profile Photo

1/ Last week, CEO Ryan Petersen joined Bloomberg TV to break down the effects of tariffs on global supply chains. How can businesses mitigate the impact of recent and upcoming changes?

Freight Economist (@freightecon) 's Twitter Profile Photo

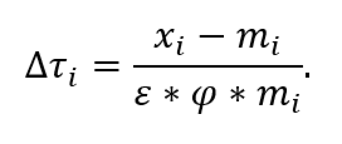
To calculate #tariffs, the White House used a simple formula. In their calculations, they referenced an interesting paper by Cavallo et al. (2021). Let's look at some nuggets from that paper. ustr.gov/issue-areas/re…

To calculate #tariffs, the White House used a simple formula. In their calculations, they referenced an interesting paper by Cavallo et al. (2021). Let's look at some nuggets from that paper.

ustr.gov/issue-areas/re…
Ryan Petersen (@typesfast) 's Twitter Profile Photo

On April 17th the U.S. Trade Representative's office is expected to impose fees of up to $1.5M per port call for ships made in China and for $500k to $1M if the ocean carrier owns a single ship made in China or even has one on order from a Chinese shipyard. 🧵 1/

Ryan Petersen (@typesfast) 's Twitter Profile Photo

I created this list of background resources for @Flexport so everyone on our team become an expert on the new tariffs so we can best help our customers navigate this crisis. Sharing here to since many customers follow me. If you have other great articles and sources, please

Bill Driegert (@billdriegert) 's Twitter Profile Photo

Some of us feel the heavy metal vibe here at @Flexport and the Convoy Platform. Another WHAT THE TRUCK?!? drum solo may be on the cards, more metal, ofc.

WHAT THE TRUCK?!? (@fwwhatthetruck) 's Twitter Profile Photo

Friday live on WHAT THE TRUCK?!? - Convoy Platform’s Bill Driegert talks about resurrecting the platform at Flexport, the market, and he delivers a killer drum solo (short taste below) - Field Fastner’s John Oldham Jr. talks tariff impacts on fasteners Stream FreightWaves

Ryan Petersen (@typesfast) 's Twitter Profile Photo

The Convoy platform has had ZERO thefts over the last 380,000 truck loads booked and completed on our platform. (Knocks on wood)

Dooner 🇺🇸 (@timothydooner) 's Twitter Profile Photo

I’ll be talking about this with Bill Driegert Friday at 12PM ET on WHAT THE TRUCK?!? May even celebrate with a drum solo Catch it live Friday 12PM ET on Craig Fuller 🛩🚛🚂⚓️ On demand on podcast players everywhere after Radio replay on SiriusXM Road Dog Trucking Radio ch146 at 5 & 11PM

Convoy Platform (@convoyplatform) 's Twitter Profile Photo

🚨 New partnership: PortTMS & @MyFreightWorld are joining the Convoy Platform ecosystem! Port TMS brokers can access our nationwide carrier capacity and automation to scale confidently. Want in? Contact your Port TMS manager or visit: convoy.com/broker-sign-up…

🚨 New partnership: <a href="/PortTMS/">PortTMS</a> &amp; @MyFreightWorld are joining the Convoy Platform ecosystem!
Port TMS brokers can access our nationwide carrier capacity and automation to scale confidently.
Want in? Contact your Port TMS manager or visit: convoy.com/broker-sign-up…
Ryan Petersen (@typesfast) 's Twitter Profile Photo

Big news we announced yesterday: Flexport has sold the Convoy Platform to DAT Freight & Analytics. This is a massive win—for Flexport, DAT, the Convoy team, and the freight industry.  🧵

Bill Driegert (@billdriegert) 's Twitter Profile Photo

Read my views on DAT's acquisition of Convoy Platform. TLDR: We're here to lead the future of freight tech, and it's going to be awesome. Here Comes the Future of Freight Tech linkedin.com/pulse/here-com… via LinkedIn

Bill Driegert (@billdriegert) 's Twitter Profile Photo

I joined Nate and Ben on Freight360 to discuss DAT's Convoy Acquisition. Check it out Transforming Freight Automation | Episode 306 youtu.be/9-973YUWajA?fe… via YouTube