
Basker Lab
@basker_iitk
Catalysis| Organometallics Chemistry| Student-Run twitter account
ID: 1239246585944354816
http://home.iitk.ac.in/~basker/Home.html 15-03-2020 17:47:08
126 Tweet
992 Followers
285 Following

Reversal of Regioselectivity in Asymmetric C-H Bond Annulation with Bromoalkynes under Cobalt Catalysis (Basker Sundararaju and co-workers) Basker Sundararaju Basker Lab onlinelibrary.wiley.com/doi/10.1002/an…

Congratulations to Nidhi Garg, Ph.D. for her recent collaborative work in EurJIC. Thanks to SERB IIT Kanpur Laboratoire de chimie de coordination IFCPAR/CEFIPRA “Mechanistic insights of Ir-bipyridonate catalyzed methanol dehydrogenation” …mistry-europe.onlinelibrary.wiley.com/doi/10.1002/ej…

Happy to announce that our review on the Enantioselective C–H bond functionalization under Co(iii)-catalysis - now published in Chemical Communications Basker Lab IIT Kanpur Chemical Communications pubs.rsc.org/en/content/art…


"Congratulations, Priyanka, on successfully defending your thesis! 🎉 Wishing you a brilliant journey ahead from the catalysis team at IITK. Watch out for her groundbreaking work ahead! #PhDSuccess Basker Lab #PhD success #FutureIsBright"


Yay! Super excited to share our new contribution on “Chemoselective Hydrogenation of Nitroarenes over highly active 3D-COF derived Co-nanocarbon catalyst” IIT Kanpur Basker Lab Click to know more! sciencedirect.com/science/articl…

🚀 Exciting news! A fruitful Collaboration with Macchioni Group leads to the discovery of a new molecular cobalt catalyst showing exceptional activity for HER, with a TOF of 109,000 s⁻¹ in pH 7! 🌊🔬 #Catalysis #HER #Cobalt Thanks SERB for funding IIT Kanpur for infra.


"Check out our recent work Angewandte Chemie on asymmetric dearomatization of indole via C-H action under dual cobalt /photoredox catalysis! Congrats Abir Das Kumaran, Harihara, and Richard. Thanks serb for funding and IIT Kanpur for infra. #cobalt #chiral onlinelibrary.wiley.com/doi/10.1002/an…


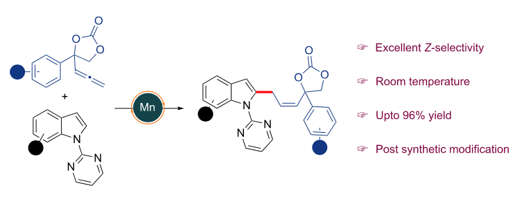
Exciting news! Vineet unveils how steric at the allenylic position dictate Z-selective allylic substitution of indoles catalyzed [Mn] in J Org Chem/Org Lett . Congratulations vineet! Big thanks to SERB for funding IIT Kanpur for infra. Basker Lab pubs.acs.org/articlesonrequ… #Zselectiv
![Basker Sundararaju (@basker25071980) on Twitter photo Exciting news! Vineet unveils how steric at the allenylic position dictate Z-selective allylic substitution of indoles catalyzed [Mn] in <a href="/JOC_OL/">J Org Chem/Org Lett</a> . Congratulations vineet! Big thanks to <a href="/serbonline/">SERB</a>
for funding <a href="/IITKanpur/">IIT Kanpur</a> for infra. <a href="/Basker_IITK/">Basker Lab</a> pubs.acs.org/articlesonrequ… #Zselectiv Exciting news! Vineet unveils how steric at the allenylic position dictate Z-selective allylic substitution of indoles catalyzed [Mn] in <a href="/JOC_OL/">J Org Chem/Org Lett</a> . Congratulations vineet! Big thanks to <a href="/serbonline/">SERB</a>
for funding <a href="/IITKanpur/">IIT Kanpur</a> for infra. <a href="/Basker_IITK/">Basker Lab</a> pubs.acs.org/articlesonrequ… #Zselectiv](https://pbs.twimg.com/media/GSGa0W0a0AAAo2n.png)

A friendly visit to the amazing IIT Kanpur. Thank you very much for invitation Basker! Basker Sundararaju


A Dual Cobalt-Photoredox Catalytic Approach for Asymmetric Dearomatization of Indoles with Aryl Amides via C-H Activation (Basker Sundararaju and co-workers) Basker Sundararaju @basker_IITK onlinelibrary.wiley.com/doi/10.1002/an…

I am happy to share that one of my bright student Abir Das from Basker Lab presented his work at junior NOST 2024 IIT Gandhinagar organised by Chemistry IITGN. Thanks again for the kind invitation. IIT Kanpur #cobalt #asymmetric


Hot off the press from @acscatalysis ! Hearty congratulations to Nidhi Garg, Ph.D. for mechanistic study on transfer hydrogenation (TH) using the Cp*Co(N,NH2)I catalytic system. Big thanks to #ANRF for funding and IFCPAR/CEFIPRA for Raman-Charpak fellowship to Nidhi Garg, Ph.D. ! #Cobalt #TH


Delighted to share my recent publication in ACS Catalysis ACS Publications Now online!!!! Work on Mechanistic Investigations on Cp*CoIII-Catalyzed Quinoline TH with HCOOH| ACS Catalysis pubs.acs.org/doi/full/10.10… thanks to Basker Sundararaju Basker Lab IIT Kanpur Laboratoire de chimie de coordination IFCPAR/CEFIPRA

Check out our recent article Nature Communications on reductive coupling of all(en)yl derivatives with alkyne under cobalt/photoredox catalysis. Congrats Subhankar Pradhan Dhananjay Satav! Thanks to Anusandhan National Research Foundation for funding & KAUST CATALYSIS CENTER (KCC) IIT Kanpur for infrastructure support! #cobalt #photoredox


Congratulations Nidhi Garg, Ph.D. on successfully completing your PhD! Well done! A big thank you to Prof. Jagirdar and the other examiners for evaluating the thesis. Congratulations Dr. Nidhi! 🎉 #PhD #Achievement #Doctorate Chemistry_IITK IIT Kanpur



Check out our J. Am. Chem. Soc. on accessing chiral C–N axes under cobalt catalysis! Congrats to Abir Das Pritam Maity Kumaran & J Richard Prem Kumar for DFT Thanks to IFCPAR/CEFIPRA for funding & @iitkanpur for infra shout out to lab Basker Lab Chemistry_IITK @director_iitk #asymmetric


Cobalt-Catalyzed Enantioselective and Diastereodivergent Construction of C–N Atropisomers | Journal of the American Chemical Society IIT Kanpur pubs.acs.org/doi/10.1021/ja…

Is it possible to access distal chiral diaxes using base metal catalysts! I am pleased to share recently published J. Am. Chem. Soc. from our group,which discusses how to access chiral C–N axes through cobalt catalysis. Grateful to my guide Basker Sundararaju sir for his unwavering support.