
João Alcantara
@alcantaravjv
ID: 1421505063801982979
31-07-2021 16:17:49
42 Tweet
46 Followers
119 Following

Fire can change the colour of a landscape, impacting the ability for insects to camouflage. Insects were more likely to inhabit areas with low contrast background, likely using compromise camouflage strategies. #AustralEcology Wiley Ecology & Evolution Ecological Society of Australia bit.ly/3JT8c0u


Reportagem PesquisaFapesp sobre nosso trabalho "Predator responses to prey camouflage strategies: a meta-analysis Royal Society Publishing (Royal Society Publishing) com João Alcantara Rafael Duarte Gustavo Q Romero revistapesquisa.fapesp.br/como-fugir-de-…

Our last work keeps being covered in the media. Another amazing news from PesquisaFapesp (in Portuguese)


I am very happy to share our Ecopic about the curious amphibian lifestyle of a dipteran larva publish today in ESA Frontiers A beatifull observation by Yuri Messas

Amazing commentary by @neptsnecklace about our last paper on the effectiveness of different camouflage strategies in Royal Society Publishing João Alcantara Gustavo Q Romero Camila Vieira Curti

PesquisaFapesp created an educational video about our last paper where we discussed the effectiveness of different camouflage strategies through a meta-analysis. The video is in Portuguese, but you can add English subtitles.João Alcantara Camila Vieira Curti youtu.be/PBdY9FZRYCw

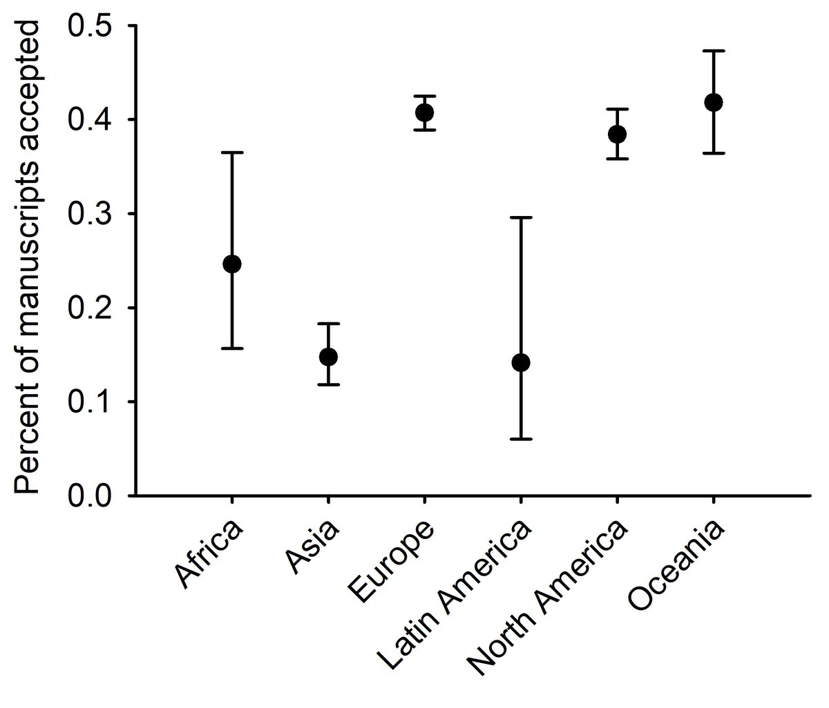
We are excited to share our new NatureEcoEvo article! Using data from > 300,000 biological sciences manuscripts and policies for > 500 Ecology & Evolution journals, we found evidence for bias during peer review (a🧵) (nature.com/articles/s4155…)



🎉Congratulations to Pablo Antiqueira our winner of the Elton Prize 2022 for the best article by an early career researcher! britishecologicalsociety.org/publications/b…🧵1/5


🎨 Amazon's Bark mantises ace camouflage! White/grey blend with trunks, green excels in microhabitats. DNA barcoding & field experiments reveal their survival secrets. 🔗 nature.com/articles/s4159… Scientific Reports Nature Portfolio #Camouflage #Mantises #Biodiversity

Crypsis by background matching and disruptive coloration as drivers of substrate occupation in sympatric Amazonian bark praying mantises João Alcantara Rafael Duarte Camila Vieira Curti Camila Leal nature.com/articles/s4159…

This creative nectar thievery didn't go unnoticed during a photoshoot. In our ESA Frontiers story, João Alcantara and I explore the outcomes of a #bananaquit forcing an immature flower to open🌸 Check out our #EcoPic at the link: esajournals.onlinelibrary.wiley.com/doi/10.1002/fe…


How do flower and insect traits shape insect behavior when facing predation risk and distinguishing predators from harmless objects (neophobia)? We explored it in our study in Behavioral Ecology and Sociobiology rdcu.be/d7iHg Gustavo Q Romero Camila Vieira Curti João Alcantara
