JASA (@asa_jasa) 's Twitter Profile
JASA

@asa_jasa

The leading source of theoretical and experimental research results in the broad interdisciplinary subject of sound.

ID: 1530999223

linkhttps://pubs.aip.org/asa/jasa calendar_today19-06-2013 14:16:18

9,9K Tweet

3,3K Takipçi

715 Takip Edilen

JASA (@asa_jasa) 's Twitter Profile Photo

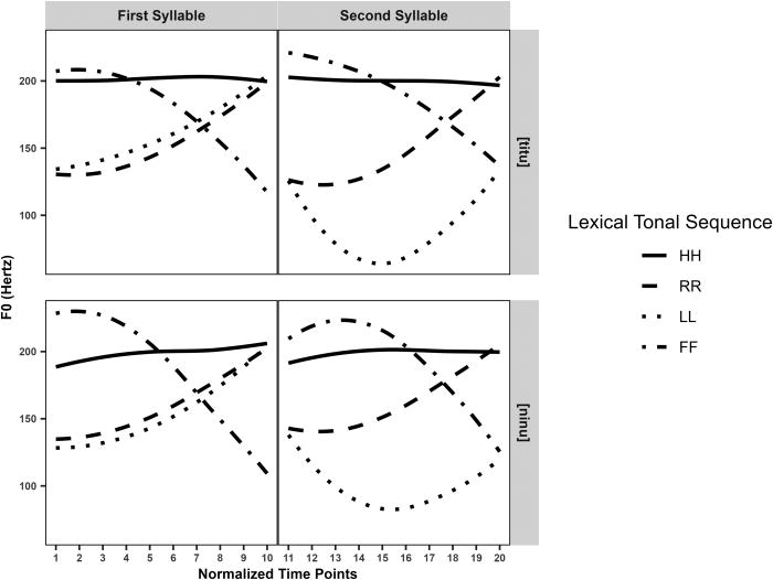
SPECIAL ISSUE: ICONICITY AND SOUND SYMBOLISM These findings suggest that the use of pitch in lexical tones influences emotional responses during the processing of tone-carrying words. doi.org/10.1121/10.003… #acoustics

SPECIAL ISSUE: ICONICITY AND SOUND SYMBOLISM

These findings suggest that the use of pitch in lexical tones influences emotional responses during the processing of tone-carrying words. doi.org/10.1121/10.003…

#acoustics
JASA (@asa_jasa) 's Twitter Profile Photo

Using a conditioned diffusion model to up-sample sonar images has improved performance compared to interpolation, convolutional neural networks, and generative adversarial networks. doi.org/10.1121/10.003… Oscar Bryan #acoustics

Using a conditioned diffusion model to up-sample sonar images has improved performance compared to interpolation, convolutional neural networks, and generative adversarial networks. doi.org/10.1121/10.003…

<a href="/OscarjBryan/">Oscar Bryan</a>
#acoustics
JASA (@asa_jasa) 's Twitter Profile Photo

TECHNICAL AREA PICK This pick from Physical Acoustics demonstrates the effectiveness of infrasound monitoring arrays in detecting and tracking tornadoes at distances up to 100km, laying groundwork for developing new systems to improve public safety. doi.org/10.1121/10.002….

TECHNICAL AREA PICK

This pick from Physical Acoustics  demonstrates the effectiveness of infrasound monitoring arrays in detecting and tracking tornadoes at distances up to 100km, laying groundwork for developing new systems to improve public safety. doi.org/10.1121/10.002….
JASA (@asa_jasa) 's Twitter Profile Photo

The otic capsule, the bony outer wall of the inner ear, behaves as a rigid accelerometer, imposing inertial loads on cochlear fluids, even above 7 kHz. doi.org/10.1121/10.003… #acoustics

The otic capsule, the bony outer wall of the inner ear, behaves as a rigid accelerometer, imposing inertial loads on cochlear fluids, even above 7 kHz.  doi.org/10.1121/10.003…

#acoustics
JASA (@asa_jasa) 's Twitter Profile Photo

The January cover features Figure 1 from "Underwater moving target detection using online robust principal component analysis and multimodal anomaly detection." The image depicts types of backscatter sources in shallow water environments: doi.org/10.1121/10.003… #acoustics

The January cover features Figure 1 from "Underwater moving target detection using online robust principal component analysis and multimodal anomaly detection." The image depicts types of backscatter sources in shallow water environments: doi.org/10.1121/10.003…

#acoustics
JASA (@asa_jasa) 's Twitter Profile Photo

This paper highlighted on the January cover introduces data-driven wideband focusing methods for passive sonar. Read it for free this month! doi.org/10.1121/10.003… #acoustics

This paper highlighted on the January cover introduces data-driven wideband focusing methods for passive sonar. Read it for free this month! doi.org/10.1121/10.003…

#acoustics
JASA (@asa_jasa) 's Twitter Profile Photo

Another cover highlight is free this month: "Are there individual acoustic signatures in the damselfish (Dascyllus albisella)?" doi.org/10.1121/10.003… #acoustics

Another cover highlight is free this month: "Are there individual acoustic signatures in the damselfish (Dascyllus albisella)?" doi.org/10.1121/10.003…

#acoustics
JASA (@asa_jasa) 's Twitter Profile Photo

TECHNICAL AREA PICK The new Tech Pick from Acoustical Oceanography is "Performance study of ray-based ocean acoustic tomography methods for estimating submesoscale variability in the upper ocean"! Read for free through February 28, 2025: doi.org/10.1121/10.002… Georgia Tech ME

TECHNICAL AREA PICK

The new Tech Pick from Acoustical Oceanography is "Performance study of ray-based ocean acoustic tomography methods for estimating submesoscale variability in the upper ocean"! Read for free through February 28, 2025: doi.org/10.1121/10.002…

<a href="/MEGeorgiaTech/">Georgia Tech ME</a>
JASA (@asa_jasa) 's Twitter Profile Photo

This study investigates the realization of narrow and broad focus in Albanian, an understudied language. doi.org/10.1121/10.003… #acoustics #linguistics #speech

This study investigates the realization of narrow and broad focus in Albanian, an understudied language. doi.org/10.1121/10.003…

#acoustics #linguistics #speech
JASA (@asa_jasa) 's Twitter Profile Photo

REFLECTIONS This month's Reflection looks back on Manfred Schroeder's groundbreaking paper on a method of obtaining an energy decay function for a room: doi.org/10.1121/10.003… #acoustics #history

REFLECTIONS

This month's Reflection looks back on Manfred Schroeder's groundbreaking paper on a method of obtaining an energy decay function for a room: doi.org/10.1121/10.003…

#acoustics #history
JASA (@asa_jasa) 's Twitter Profile Photo

Acoustic voice spaces are structured in a remarkably consistent way, first by biologically-driven, evolutionarily-grounded factors, second by learned linguistic factors, and finally by idiosyncrasies of the individual talker. doi.org/10.1121/10.003… #acoustics

Acoustic voice spaces are structured in a remarkably consistent way, first by biologically-driven, evolutionarily-grounded factors, second by learned linguistic factors, and finally by idiosyncrasies of the individual talker.  doi.org/10.1121/10.003…

#acoustics
JASA (@asa_jasa) 's Twitter Profile Photo

CALL FOR PAPERS JASA and JASA Express Letters are now taking submissions for the Special Issue on Ecological Perspectives on Hearing! Find out more at pubs.aip.org/asa/jasa/pages… This special issue is open until September 30, 2025.

JASA (@asa_jasa) 's Twitter Profile Photo

This cover highlight investigates the influence bubble curtains have as a noise-mitigation technique for offshore pile driving: doi.org/10.1121/10.003… #acoustics

This cover highlight investigates the influence bubble curtains have as a noise-mitigation technique for offshore pile driving: doi.org/10.1121/10.003…

#acoustics
JASA (@asa_jasa) 's Twitter Profile Photo

Researchers developed a microscopic model for predicting urban traffic noise levels. Its stochastic core enables it to capture traffic randomness, thereby improving noise assessments. doi.org/10.1121/10.003… #acoustics Claudio Guarnaccia

Researchers developed a microscopic model for predicting urban traffic noise levels. Its stochastic core enables it to capture traffic randomness, thereby improving noise assessments. doi.org/10.1121/10.003…

#acoustics <a href="/ClaudioGuarnac2/">Claudio Guarnaccia</a>
JASA (@asa_jasa) 's Twitter Profile Photo

TECHNICAL AREA PICK This Animal Bioacoustics tech pick shows the potential of passive acoustics to investigate long-term shifts in marine migration behaviors, which can aid in understanding the impacts of climate change. doi.org/10.1121/10.002… Free til 28 Feb 2025!

TECHNICAL AREA PICK

This Animal Bioacoustics tech pick shows the potential of passive acoustics to investigate long-term shifts in marine migration behaviors, which can aid in understanding the impacts of climate change. doi.org/10.1121/10.002…

Free til 28 Feb 2025!
JASA (@asa_jasa) 's Twitter Profile Photo

How do room acoustic environments affect a listener's perception of the musical blending of instruments? doi.org/10.1121/10.003… #acoustics

How do room acoustic environments affect a listener's perception of the musical blending of instruments? doi.org/10.1121/10.003…

#acoustics
JASA (@asa_jasa) 's Twitter Profile Photo

REFLECTIONS Don't miss the historical article that inspired this month's Reflection: "New Method of Measuring Reverberation Time" by M. R. Schroeder! doi.org/10.1121/1.1909… #acoustics #history

REFLECTIONS

Don't miss the historical article that inspired this month's Reflection: "New Method of Measuring Reverberation Time" by M. R. Schroeder! doi.org/10.1121/1.1909…

#acoustics #history
JASA (@asa_jasa) 's Twitter Profile Photo

CALL FOR PAPERS JASA and JASA Express Letters are now taking submissions for the Special Issue on Bayesian Methods in Acoustical Science and Engineering! Find out more at pubs.aip.org/asa/jasa/pages… This special issue is open until January 30, 2026

JASA (@asa_jasa) 's Twitter Profile Photo

TECHNICAL AREA PICK The latest Computational Acoustics pick describes the insights we can gain on physical problems using computational methods-- in this case, optimization of a waveguide acoustic black hole for enhanced wave focusing: doi.org/10.1121/10.002…

TECHNICAL AREA PICK

The latest Computational Acoustics pick describes the insights we can gain on physical problems using computational methods-- in this case, optimization of a waveguide acoustic black hole for enhanced wave focusing:  doi.org/10.1121/10.002…
JASA (@asa_jasa) 's Twitter Profile Photo

TECHNICAL AREA PICK This pick from Physical Acoustics demonstrates the effectiveness of infrasound monitoring arrays in detecting and tracking tornadoes at distances up to 100km, laying groundwork for developing new systems to improve public safety. doi.org/10.1121/10.002….

TECHNICAL AREA PICK

This pick from Physical Acoustics  demonstrates the effectiveness of infrasound monitoring arrays in detecting and tracking tornadoes at distances up to 100km, laying groundwork for developing new systems to improve public safety. doi.org/10.1121/10.002….