Adrián Sánchez (@23adriansanchez) 's Twitter Profile
Adrián Sánchez

@23adriansanchez

| Máster Rendimiento Físico y Deportivo UPO | MAES E.F. UPO | Máster AFS |Doctorando⏳| PF Selección Absoluta Sáhara Occidental ⚽️ | UEFA B | PF @sdhuescafem

ID: 1134584662641336323

linkhttps://www.linkedin.com/in/adri%C3%A1n-s%C3%A1nchez-l%C3%B3pez-313885177/ calendar_today31-05-2019 22:17:17

694 Tweet

5,5K Takipçi

1,1K Takip Edilen

Adrián Sánchez (@23adriansanchez) 's Twitter Profile Photo

✅ FUERZA Y RECUPERACIÓN MUSCULAR EN FÚTBOL⚽️ ➡️ Las jugadoras con mayores📈niveles de fuerza recuperan más rápido post-partido que las jugadoras con menores📉 niveles de fuerza. 📝 También recuperan antes que jugadoras con mayor capacidad aeróbica y bajos niveles de fuerza⚠️

✅ FUERZA Y RECUPERACIÓN MUSCULAR EN FÚTBOL⚽️

➡️ Las jugadoras con mayores📈niveles de fuerza recuperan más rápido post-partido que las jugadoras con menores📉 niveles de fuerza.

📝 También recuperan antes que jugadoras con mayor capacidad aeróbica y bajos niveles de fuerza⚠️
Adrián Sánchez (@23adriansanchez) 's Twitter Profile Photo

RECUPERACIÓN ISQUIOSURALES⚽️ ❌ 72h post-partido no hay recuperación total, pudiendo estar predispuesto en mayor medida a lesión 💥 ⬇️ Reducir sprints y saltos en MD+3 con tareas en espacios pequeños ▫podría ayudar a controlar la carga de ese día en este grupo muscular 🦵🏻

RECUPERACIÓN ISQUIOSURALES⚽️

❌ 72h post-partido no hay recuperación total, pudiendo estar predispuesto en mayor medida a lesión 💥

⬇️ Reducir sprints y saltos en MD+3 con tareas en espacios pequeños ▫podría ayudar a controlar la carga de ese día en este grupo muscular 🦵🏻
Adrián Sánchez (@23adriansanchez) 's Twitter Profile Photo

ENTRENAMIENTO DE FUERZA Y ROM📝 ✅ Llegar a rangos de movimiento completos en el entrenamiento de fuerza, mejora en mayor medida el ROM📶que los estiramientos. ☑ Estas mejoras se producen independientemente de la carga utilizada, siendo más importante llegar a rangos amplios⬆️

ENTRENAMIENTO DE FUERZA Y ROM📝

✅ Llegar a rangos de movimiento completos en el entrenamiento de fuerza, mejora en mayor medida el ROM📶que los estiramientos.

☑ Estas mejoras se producen independientemente de la carga utilizada, siendo más importante llegar a rangos amplios⬆️
Adrián Sánchez (@23adriansanchez) 's Twitter Profile Photo

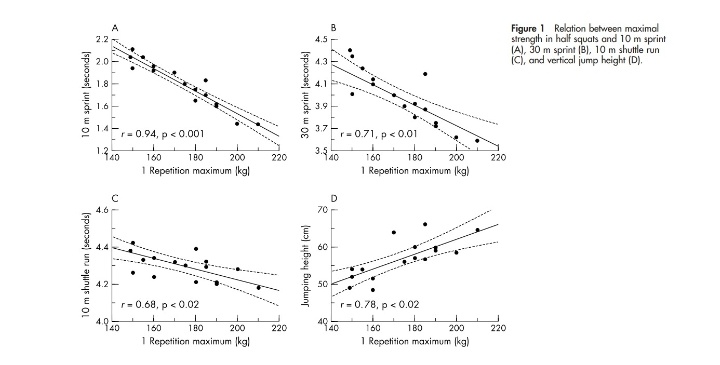
📝 SQ, SPRINT Y SALTO VERTICAL 🔙Hace 20 años ya se observó alta correlación entre F en miembros inferiores mediante SQ, y su influencia en estas variables en fútbol ⚽️ ⏺Con el conocimiento actual sobre entrenamiento deportivo podemos optimizar en mayor medida estas mejoras📊

📝 SQ, SPRINT Y SALTO VERTICAL

🔙Hace 20 años ya se observó alta correlación entre F en miembros inferiores mediante SQ, y su influencia en estas variables en fútbol ⚽️

⏺Con el conocimiento actual sobre entrenamiento deportivo podemos optimizar en mayor medida estas mejoras📊
Adrián Sánchez (@23adriansanchez) 's Twitter Profile Photo

HÁBITOS ALIMENTICIOS🍽EN FÚTBOL⚽️ ➡️Grupo de 105 futbolistas de ambos sexos y desde la élite hasta categorías de formación📶 🔄Hay diferencias en función del nivel competitivo📊, siendo importante eliminar el consumo de alcohol🚫 y mejorar los hábitos en categorías inferiores↘️

HÁBITOS ALIMENTICIOS🍽EN FÚTBOL⚽️

➡️Grupo de 105 futbolistas de ambos sexos y desde la élite hasta categorías de formación📶

🔄Hay diferencias en función del nivel competitivo📊, siendo importante eliminar el consumo de alcohol🚫 y mejorar los hábitos en categorías inferiores↘️
Adrián Sánchez (@23adriansanchez) 's Twitter Profile Photo

MAXIMIZAR GANANCIAS DE FUERZA🧱 📶Máx. esfuerzo mental y activación neural ⏏Mejorar activación concéntrica/excéntrica 📏ROM completo 💥Estrés metabólico ⚖Controlar dosis-respuesta 📉Comenzar series con mínima fatiga ⏳Descanso 📊Programación estímulo de entrenamiento

MAXIMIZAR GANANCIAS DE FUERZA🧱

📶Máx. esfuerzo mental y activación neural

⏏Mejorar activación concéntrica/excéntrica

📏ROM completo

💥Estrés metabólico

 ⚖Controlar dosis-respuesta

📉Comenzar series con mínima fatiga

⏳Descanso

📊Programación estímulo de entrenamiento
Adrián Sánchez (@23adriansanchez) 's Twitter Profile Photo

✅Un tejido como el músculo o tendón se lesiona cuando no está adaptado para tolerar una carga de trabajo. ➡️Diferentes factores pueden alterar esa tolerancia, sin embargo, a mayor capacidad de aplicar fuerza, tendremos menor riesgo de lesión ante cualquier mecanismo lesional.

Adrián Sánchez (@23adriansanchez) 's Twitter Profile Photo

➡️Eficiencia del V̇O2máx 🫁🫀 depende en parte de la mitocondriogénesis y angiogénesis muscular🦵🏻 📊Necesitamos entrenamientos con características específicas para ambas adaptaciones y mejorar el rendimiento físico ⚽️ 🗓Programando SIT y HIIT obtenemos los mayores beneficios ✅

➡️Eficiencia del V̇O2máx 🫁🫀 depende en parte de la mitocondriogénesis y angiogénesis muscular🦵🏻

📊Necesitamos entrenamientos con características específicas para ambas adaptaciones y mejorar el rendimiento físico ⚽️

🗓Programando SIT y HIIT obtenemos los mayores beneficios ✅
Adrián Sánchez (@23adriansanchez) 's Twitter Profile Photo

📶INTENSIDAD DE ENTRENAMIENTO Y SUEÑO💤 ↗️A mayor intensidad de entrenamiento 4h o menos antes de dormir, mayor actividad del sistema nervioso simpático y menor calidad de sueño⛔ ✅Importante seguir estrategias de descanso cuando no se pueda separar más de 4h antes de dormir🌙

📶INTENSIDAD DE ENTRENAMIENTO Y SUEÑO💤

↗️A mayor intensidad de entrenamiento 4h o menos antes de dormir, mayor actividad del sistema nervioso simpático y menor calidad de sueño⛔

✅Importante seguir estrategias de descanso cuando no se pueda separar más de 4h antes de dormir🌙